Добавить в корзинуПозвонить
Найти в Дзене
Pro100 Математика

Задание №8 на ОГЭ по математике.

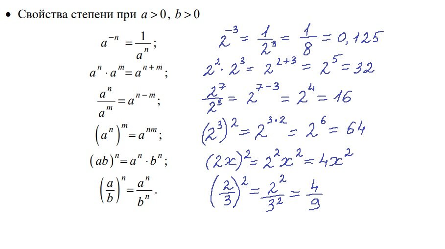
Приветствую Вас на канале Pro100 математика! Эта статья - полноценный урок по 8 заданию ОГЭ по математике. По статистике это задание является одним из сложных заданий первой части ОГЭ по математике, так как здесь попадались на экзаменах задания на всеми "любимые" формулы сокращенного умножения, действия с рациональными дробями, действия с корнями или действия со степенями. Но в этом году в обновленном банке заданий на сайте ФИПИ нет заданий с рациональными дробями,что значительно облегчает подготовку. Поэтому в этой статье мы разберем две основные темы 8 задания ОГЭ по математике: 1. Действия со степенями. Для выполнения задания на действия со степенями, необходимо знать свойства степени. Здесь нам помогут справочные материалы, которые выдаются на экзамене. Там есть все необходимые свойства, также я добавила по каждому свойству пример: Разбор всех заданий на свойства степени (задания из открытого банка заданий ФИПИ) смотрим в видеоуроке: 2. Действия с корнями. Если в задании номер 8 п
Оглавление

Приветствую Вас на канале Pro100 математика!

Эта статья - полноценный урок по 8 заданию ОГЭ по математике. По статистике это задание является одним из сложных заданий первой части ОГЭ по математике, так как здесь попадались на экзаменах задания на всеми "любимые" формулы сокращенного умножения, действия с рациональными дробями, действия с корнями или действия со степенями.

Но в этом году в обновленном банке заданий на сайте ФИПИ нет заданий с рациональными дробями,что значительно облегчает подготовку. Поэтому в этой статье мы разберем две основные темы 8 задания ОГЭ по математике:

  • Действия со степенями
  • Свойства квадратного корня

1. Действия со степенями.

Для выполнения задания на действия со степенями, необходимо знать свойства степени. Здесь нам помогут справочные материалы, которые выдаются на экзамене. Там есть все необходимые свойства, также я добавила по каждому свойству пример:

Шпаргалка по 8 заданию ОГЭ по математике
Шпаргалка по 8 заданию ОГЭ по математике

Разбор всех заданий на свойства степени (задания из открытого банка заданий ФИПИ) смотрим в видеоуроке:

2. Действия с корнями.

Если в задании номер 8 попалось задание на действия с корнями, здесь снова помогут справочные материалы, в которых есть (но не все!) свойства квадратного корня:

  • Корень из произведения двух и более чисел равен произведению корней этих чисел;
  • Корень из частного двух чисел равен частному их корней.
Свойства арифметического квадратного корня (Справочные материалы)
Свойства арифметического квадратного корня (Справочные материалы)

Но, к сожалению, в справочных материалах ОГЭ по математике нет еще одного важного свойства, которое применяется довольно часто, и которое необходимо запомнить:

Свойства арифметического квадратного корня
Свойства арифметического квадратного корня

Также, в 8 задании нам могут пригодиться формулы сокращенного умножения. Ниже я добавила отрывок из справочных материалов, содержащий эти формулы, с примерами их применения:

-4

Видеоурок по 8 заданию ОГЭ по математике на действия с корнями:

На этом все)

Я надеюсь, после изучения всех свойств и видеоуроков, которые есть в данной статье, вопросов по 8 Заданию ОГЭ по математике!

Не забудьте поставить лайк, если было полезно и подписаться на канал!