Добавить в корзинуПозвонить
Найти в Дзене
d-calc.ru

Как преобразовать дробь с десятичными дробями в числителе или знаменателе

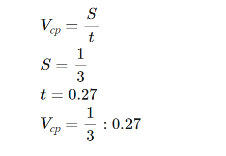
Часто те или иные значения бывают заданы десятичными дробями, которые при подстановке в выражение где имеются также обыкновенные дроби снижают точность вычисления, либо вызывают неудобства при выполнении математических операций. Например, если при вычислении средней скорости путь задан обыкновенной дробью, а время десятичной. На рис. 1 видно, что выполнить деление будет неудобно, если мы хотим в ответе получить результат в виде обыкновенной дроби. В данном случае необходимо преобразовать отношение пути ко времени в обыкновенную дробь, это можно сделать, представив число 0.27 в виде обыкновенной дроби, а затем выполнить деление пути на время. Чтобы выполнить преобразование дроби, в которой числителем и знаменателем могут быть целые числа, обыкновенные и десятичные дроби вы можете воспользоваться калькулятором преобразования дроби где результатом вычисления будет обыкновенная дробь с целыми значениями числителя и знаменателя. Спасибо за прочтение! Подписывайтесь, делитесь своим мнением
Дробь с десятичными дробями в числителе и знаменателе
Дробь с десятичными дробями в числителе и знаменателе

Часто те или иные значения бывают заданы десятичными дробями, которые при подстановке в выражение где имеются также обыкновенные дроби снижают точность вычисления, либо вызывают неудобства при выполнении математических операций.

Например, если при вычислении средней скорости путь задан обыкновенной дробью, а время десятичной.

рис. 1
рис. 1

На рис. 1 видно, что выполнить деление будет неудобно, если мы хотим в ответе получить результат в виде обыкновенной дроби. В данном случае необходимо преобразовать отношение пути ко времени в обыкновенную дробь, это можно сделать, представив число 0.27 в виде обыкновенной дроби, а затем выполнить деление пути на время.

-3

Чтобы выполнить преобразование дроби, в которой числителем и знаменателем могут быть целые числа, обыкновенные и десятичные дроби вы можете воспользоваться калькулятором преобразования дроби где результатом вычисления будет обыкновенная дробь с целыми значениями числителя и знаменателя.

Результат работы калькулятора преобразования дроби
Результат работы калькулятора преобразования дроби

Спасибо за прочтение! Подписывайтесь, делитесь своим мнением в комментариях и не забудьте поставить лайк, если вам понравился материал.