Добавить в корзинуПозвонить
Найти в Дзене

Кратко о реактивном движении с релятивистской скоростью в межзвездном пространстве. Briefly about jet motion with relativistic speed.

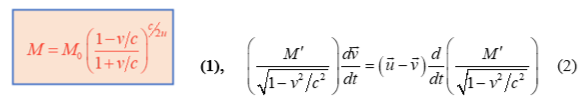
В комментариях к моей статье "Замечательная ошибка в получении формулы Циолковского и следствия из нее" один из читателей заметил, что "очень длинная и сложная статья, до конца не смог осилить". Поэтому в этой статье я даю краткое и упрощенное изложение этой моей предшествующей более сложной статьи. В теории реактивного движения с релятивистской скоростью существует следующая формула, часто необоснованно называемая обобщенным уравнением Циолковского (1). Это ее наименование необоснованно потому, что сам К.Э. Циолковский к ее выводу и получению не имеет вообще никакого отношения. Впервые, по-видимому, формула (1) была получена Я. Аккеретом 11 (Aekeret J.) в 1946 году, а потом и Е. Зенгером 12 (Sanger E.), в 1956 году повторившим вывод Я. Аккерета. По крайней мере так утверждают авторы работы 45. За основу своего вывода формулы (1) и тот, и другой взяли дифференциальное уравнение вида (2), характерной чертой которого является наличие разности (3а) скоростей истечения газов u и ско

В комментариях к моей статье "Замечательная ошибка в получении формулы Циолковского и следствия из нее" один из читателей заметил, что "очень длинная и сложная статья, до конца не смог осилить". Поэтому в этой статье я даю краткое и упрощенное изложение этой моей предшествующей более сложной статьи.

 Созвездие в правом верхнем углу, это реальные очертания созвездия Центавра с соблюдением, по возможности, геометрических пропорцией расстояний между его звездами и их астрофизической цветностью. Желтая звезда Альфа это и есть знаменитая Альфа Центавра.
Созвездие в правом верхнем углу, это реальные очертания созвездия Центавра с соблюдением, по возможности, геометрических пропорцией расстояний между его звездами и их астрофизической цветностью. Желтая звезда Альфа это и есть знаменитая Альфа Центавра.

В теории реактивного движения с релятивистской скоростью существует следующая формула, часто необоснованно называемая обобщенным уравнением Циолковского (1).

-2

Это ее наименование необоснованно потому, что сам К.Э. Циолковский к ее выводу и получению не имеет вообще никакого отношения.

Впервые, по-видимому, формула (1) была получена Я. Аккеретом 11 (Aekeret J.) в 1946 году, а потом и Е. Зенгером 12 (Sanger E.), в 1956 году повторившим вывод Я. Аккерета. По крайней мере так утверждают авторы работы 45.

За основу своего вывода формулы (1) и тот, и другой взяли дифференциальное уравнение вида (2), характерной чертой которого является наличие разности (3а) скоростей истечения газов u и скорости движения v реактивного аппарата. Эта разность скоростей действительно может иметь место в дифференциальных уравнениях реактивного движения тел с переменной массой. Что впервые показал И.В. Мещерский в 1897 году в своей диссертации 3. Однако, если мы внимательно изучим диссертацию И.В. Мещерского, то мы увидим, что он использовал указанное дифференциальное уравнение при движении в атмосфере, или в поле тяготения Земли, когда может осуществляться условие постоянства разности (3а) скоростей.

-3

А Я. Аккерет и Е. Зенгер применили это уравнение для описания движения в космосе, то есть, в безвоздушном пространстве. Что является ошибкой, так как при движении в космосе разность скоростей (3а) постоянной не является и никогда не будет. Из-за отсутствия встречного сопротивления космического вакуума и постоянства работы двигателя ракеты.

К тому же указанное дифференциальное уравнение (2) Я. Аккерета и Е. Зенгера фактически может быть получено из дифференциального уравнения (3б), в котором относительная скорость определяется уравнением (3в).

Ввиду этого мы в действительности имеем первоначальное уравнение (3б) в виде уравнения (4а).

-4

В уравнение (4а) достаточно теперь ввести так называемые релятивистские «массы», определяемые уравнениями (4б) и (4в), чтобы получить исходное уравнение (2) Я. Аккерета и Е. Зенгера.

Но дело в том, что известная всем формула Циолковского (5) из уравнения (4а) при условии переменности разности (3а) не получается.

-5

Она может быть получена из уравнения (4а) только при условии постоянства этой разности, когда мы имеем право записать уравнение (5б), и на этом основании относительную скорость при интегрировании мы получаем право вынести из-под знака интеграла как постоянную величину.

Здесь мы пока записываем только уравнение Циолковского для соотношения масс, опуская формулу Циолковского для скорости движения v реактивного аппарата. Потому что вторая легко может быть получена каждым из первой.

Тогда, если мы будем учитывать факт переменности в космосе разности (3а) скоростей, вследствие чего эту разность из-под знака интеграла выносить нельзя и надо разделять переменные интегрирования, то при интегрировании указанного уравнения (4а) по методу разделения переменных интегрирования мы уже не получим формулы Циолковского, а получим другую формулу, например, формулу (6) для скорости движения реактивного аппарата.

Которая окажется неверной при применении ее при расчете реального движения ракет.

Таким образом, складывается любопытная ситуация, когда из уравнения (4а) мы не можем получить многократно проверенную на практике формулу Циолковского (5), потому что надо учитывать переменность разности скоростей (3а).

А если мы соблюдаем правила математики и учитываем при интегрировании переменность разности скоростей (3а), (которая неминуемо должна иметь место, вообще говоря, и при старте ракеты и ее движения в земной атмосфере, так как нас интересует наращивание скорости v движения ракеты, а не ее постоянство), то математически правильное решение (6) дифференциального уравнения (4а) оказывается физически не состоятельным, ибо не описывает правильно реальное движение ракет. Интересующимся деталями сообщим, что при использовании для расчетов движения ракет правильно полученной формулы (6) ни одна из ракет не сможет преодолеть тяготения Земли и упадет обратно на Землю. Что тут же «ставит жирный крест» на всей космонавтике.

Такая ситуация может означать только одно: дифференциальное уравнение (4а), содержащее разность скоростей (3а), не является дифференциальным уравнением, описывающим движение ракет при наращивании ими их скорости движения. Дифференциальным уравнением, реально описывающим движение ракет, является дифференциальное уравнение, примененное К.Э. Циолковским при выводе им его известной формулы. Его мы здесь не приводим ввиду его общеизвестности.

Но тогда, если дифференциальное уравнение (4а) не является дифференциальным уравнением, описывающим движение ракет при наращивании ими их скорости движения, то тогда таковым не может являться и дифференциальное уравнение (2), использованное Я. Аккеретом для получения уравнения (1). Ибо уравнение (2) получено и Я. Аккеретом, и Е. Зенгером, из уравнения (4а) простой подстановкой в него релятивистских масс, определяемых уравнениями (4б) и (4в). Каждый может убедиться в этом сам, прочитав соответствующие работы указанных авторов.

Естественно, что Я. Аккерет, а вслед за ним и Е. Зенгер, не могли и предполагать, что, то дифференциальное релятивистское уравнение (4а), которое они брали за основу в своих работах, вовсе не является дифференциальным уравнением движения ракет при наращивании ими их скорости движения.

Оговоримся. Как частный случай, уравнение (4а) может быть дифференциальным уравнением движения ракет, только для случая постоянства разности скоростей (3а) при движении ракеты в атмосфере. Когда присутствует встречное сопротивление воздуха, гасящее весь тот добавочный импульс ракеты, получаемый ею от сжигания топлива, тот добавочный импульс, который в отсутствие встречного сопротивления шел бы на наращивание скорости ракеты. Ну, или еще и в тривиальном случае, когда указанный добавочный импульс, целиком расходовался бы на преодоление тяготения Земли в случае вертикального старта ракеты и не шел бы на наращивание скорости ракеты. Но такой тривиальный случай не имеет практического значения, ибо ракета, просто зависшая вертикально над Землей, никого не интересует. Тем более в указанных условиях и речи быть не может об релятивистских "массах" (4б) и (4в).

Но для условий космоса встречное сопротивление вообще чего бы то ни было отсутствует и потому условие постоянства разности скоростей (3а) при работающем двигателе ракеты не осуществимо.

И тогда встает вопрос, каким должно быть релятивистское дифференциальное уравнение, описывающее движение реактивных аппаратов именно в космическом пространстве, и как его правильно получить? Ответ на этот вопрос и дается в монографии автора «Рейс на Альфу Центавра отменяется! Или все-таки нет?!» Ссылка на монографию:

https://strata.spb.ru/catalog/estestvennye-nauki/fizika/reys-na-alfu-tsentavra-otmenyaetsya-ili-vse-taki-net-k-teorii-razvitiya-reaktivnogo-dvizheniya-v-mezh.html?sphrase_id=12004

Чтобы далее не усложнять излишне данную статью, просто приведем ниже итоговые формулы реактивного движения в космическом пространстве для релятивистского аппарата, являющие конечным результатом нашей работы и заменяющие собой в том числе и неверную формулу (1).

-6

Эти формулы следующие:

- формула (7) для соотношения масс;

- формула (8) для скорости движения реактивного аппарата;

- формула (9) для параметра G, описывающего работу термоядерного (или аннигиляционного) реактора, использующегося для выработки энергии, предназначенной для осуществления реактивного движения.

Как вы видите, наша формула (7) для соотношения масс не имеет ничего общего с печально известной формулой (1). Соответственно, наша формула (8) для скорости движения реактивного аппарата не имеет ничего общего с другой печально известной формулой для скорости движения космической ракеты (здесь ее мы не приводим, так как каждый может получить ее сам, или найти в интернете), которая получается из формулы (1) простым ее решением относительно скорости v. Две формулы, вошедшие в анналы физики после Я. Аккерета и Е. Зенгера, мы называем печально известными, ибо именно они практически убедили физиков в бесполезности полетов к звездам ввиду фантастически огромных расходов массы для достижения релятивистских скоростей. А лететь к звездам на не релятивистских скоростях вообще бесполезная затея ввиду огромных затрат времени на такой полет.

Наши формулы (7) и (8) ранее в теории реактивного движения известны не были.

Наша формула (9) до сих пор вообще не была известна в физике, так как никто прежде не сообразил, что для достижения релятивистских скоростей ракеты требуется огромная энергия, а ее можно получить только за счет работы соответствующих реакторов на борту, и это неминуемо сопровождается дополнительным расходом массы, которая переводится в энергию. Этот дополнительный расход массы, а значит и ее исчезновение на борту реактивного аппарата, ранее также никем и никогда не учитывался. А надо было бы.

Параметр G учитывает расход масс (их уменьшение) на борту реактивного аппарата при выработке энергии. Что ранее никогда не учитывалось в теории реактивного движения в межзвездном пространстве никакими формулами. Ясно, что если на борту реактивного аппарата будет не термоядерный, или не реактор аннигиляции вещества, а любой другой, в процессе работы которого будет использоваться явление уменьшение массы топлива, то формула для параметра G изменится, или же он может быть заменен другим соответствующим параметром. В то время как сами формулы (7) и (8) останутся без особых изменений.

Отметим, что для малых не релятивистских скоростей движения, когда не требуются высокие скорости истечения газов (отброса вещества) из дюз реактивного аппарата, мы имеем G ≈ 0 из-за малого расхода масс топлива, а также получаем и уравнение (10), вследствие чего имеет место и уравнение (11).

Поэтому наши уравнения (7) и (8) переходят в уравнения Циолковского [(5) и второе, здесь не показанное, для скорости движения].

Эта их сводимость к уравнениям К.Э. Циолковского указывает, что полученные нами уравнения (7) и (8) являются релятивистским обобщением уравнений Циолковского.

Литература.

(приводим полный список литературы, использованной в монографии)

1 Михайлов Г.К., «Развитие основ динамики системы переменного состава и теории реактивного движения», докторская диссертация, М.: 1977 г.

2 Михайлов Г.К., «Георг Бюкуа и начала динамики систем с переменными массами», в кн. Михайлов Г.К. «Исследования по истории физики и механики». Москва: Наука, 1986 г.

3 Мещерский И. В., «Динамика точки переменной массы», в кн. И. В. Мещерский «Работы по механике тел переменной массы», магистерская диссертация, Изд. 1-ое, Государственное издательство технико-теоретической литературы, Москва – Ленинград, 1949 г. (все ссылки в нашей работе приводятся на это издание); Изд. 2-е, М.: издательство то же, 1952 г., 280 с.

4 Мещерский И. В., «Уравнения движения точки переменной массы в общем случае», в кн. И. В. Мещерский «Работы по механике тел переменной массы», магистерская диссертация, Изд. 2-е, М.: Государственное издательство технико-теоретической литературы, 1952 г., 280 с.

5 Тарг С. М., «Краткий курс теоретической механики», М.: Высшая школа, 1986 г., 416 с.

6 Иродов И. Е., «Основные законы механики», М.: Высшая школа, 1985 г., 248 с.

7 Циолковский К.Э., «Ракета», рукопись от 10 (22) мая 1897, Архив Российской академии наук (АРАН). Ф. 555. Оп. 1. Д. 32. Лл. 1—2, 5, 11, 20. На листе «Вычисления к выводу формулы для конечной скорости ракеты, 10 мая 1897 г.» автором впервые записана формула Циолковского.

8 Циолковский К.Э., «Исследование мировых пространств реактивными приборами», журнал «Научное обозрение», № 5, с. 44—75, 1903 г. Впоследствии в работе 24 Циолковский назовет работу 1903 г. частью I;

9 Циолковский К. Э., «Труды по ракетной технике», под редакцией М. К. Тихонравова, М.: Оборонгиз, с.33, 1947 г.

10 Сивухин Д.В., «Общий курс физики», том I «Механика», §21 «Движение тел переменной массы», Москва, 1979 г.

11 Aekeret J., «Zur Theorie der Raketen», Helv-Physica. Acta., т. 19, N 2, р. 103—112., 1946.

12 Sanger E., «Zur Mechanik der Photonen-Strahlantriebe», Munchen, 1956; русск. перевод с нем.: Зенгер Е., «К механике фотонных ракет», издательство иностранной литературы, М., 1958 г.

13 Матвеев А.Н., «Механика и теория относительности», учебник для ВУЗов, 3-е издание, М.: издательства «Оникс 21 век», «Мир и образование», 2003 г.

14 Станюкович К.П., Бронштен В.А., «Межзвездные перелеты», в кн. «Космос», Москва, издательство АН СССР, 1963 г.

15 Левантовский В.И., «Механика космического полета в элементарном изложении», издание 3-е, Москва, издательство «Наука», главная редакция физико-математической литературы, 1980 г.

16 Перельман Р.Г., «Двигатели галактических кораблей», издательство Академии Наук СССР, Москва, 1962 г.

17 Салахутдинов Г.М., «Блеск и нищета К. Э. Циолковского», издательство АМИ, Москва, 2000 г., 248 с.

18 Кибальчич Н.И., «Проэктъ воздухоплавательнаго прибора», журнал «Былое», № 4 -5 (32 – 33), апрель – май 1918 г., стр.115 – 121; см. также в этом же номере журнала статью инженера Н. Рынина «О проектъ воздухоплавательнаго аппарата Н. И. Кибальчича», стр. 122 – 124, от 23 марта1918 г. Источники: «Былое», 2-ая серия, том 9-11 (1918), Internet Archive:

https://archive.org/details/byloe-9-11; также: https://rusneb.ru/catalog/000199_000009_60000254215/.

19 Федоров А.П., «Новый принципъ воздухоплаванiя, исключающий атмосферу какъ опорную среду», типографiя А.Л. Трунова, С.-Петербургъ, 1896 г.

20 Первушин А., «В погоне за светом и пространством», «Наука и жизнь», №10, 1922 г., стр.22 -35.

21 Oberth H., «Die Rakete zu den Planetenräumen», München und Berlin, Oldenbourg, 1923; см. также издание Walter de Gruyter GmbH & Co KG, 30 мар. 2015 г. - Всего страниц: 106.

22 Циолковский К.Э., «Вне Земли», начата в 1896 г., было написано первые 10 глав, продолжена в 1916 г. (около половины рукописи) в журнале «Природа и люди», далее продолжена автором в январе – апреле 1917 г. и в сокращении опубликована в 1918 г. в журнале «Природа и люди», №2 – 14. В 1920 г. вышла в Калуге отдельным изданием в полностью законченном автором виде.

23 ЦиолковскийК.Э., «Исследование мировых пространств реактивными приборами», 1911 г. Впоследствии в работе 24 Циолковский назовет работу 1911 года частью II;

24 Ціолковскій К., «Изслѣдованіе мировыхъ пространствъ реактивными приборами (дополненiе къ I и II части труда того-же названия)», изданiе и собственность автора, Калуга, Типографiя С.А. Семенова, 20 c., 1914 г.

25 Циолковский К.Э., «Исследование мировых пространств реактивными приборами (переиздание работ 1903 и 1911 г. с некоторыми изменениями и дополнениями)», Калуга, 1926 г.

26 Рынин Н.А., «Теория космического полета», издательство Академии Наук СССР, Ленинград, 1932 г.

27 Goddard R.H., «A Method for Reaching Extreme Altitudes», Washington, published by the Smitsonian Institution, 1919.

28 Hohmann W., «Die Erreichbarkeit der Himmelskorper: Untersuchungen über das Raumfahrtproblem», Munchen und Berlin, Druck und verlag R. Oldenburg, 1925.

29 Esnault-Pelterie R., «Considérations sur les résultats d'un allégement indéfini des moteurs», Journal de physique theorique et appliquee, Paris, Vol. 3, N 1, 1913, p.218-230.

30 Мелькумов Т.М., Сокольский В.Н., «Пионеры ракетной техники. Гансвиндт, Годдард, Эсно-Пельтри, Оберт, Гоман. Избранные труды (1891 – 1938)», Академия Наук СССР, издательство «Наука», Москва, 1977 г.

31 Циолковский К.Э., «Ракета в космическое пространство», с вступительным словом на нем. языке А.Л. Чижевского, 2-ое издание, Калуга, 1-ая государственная типография, 1924 г.; см. также в кн.: «Избранные труды К.Э.Циолковского в 2-х книгах. Книга 2. Реактивное движение», ОНТИ НКТИ СССР, Госмашметиздат, 1934г.

32 Циолковский К.Э., «Исследование мировых пространств реактивными приборами», в кн.: «Избранные труды К.Э.Циолковского в 2-х книгах. Книга 2. Реактивное движение», ОНТИ НКТИ СССР, Госмашметиздат, 1934г.

33 Сокольский В.Н., «Основные направления развития ракетно-космической науки и техники (до середины 40-х годов XX в.)», по материалам докладов автора, представленных на II, III и V Международных симпозиумах по истории астронавтики. Материалы публиковались в кн.: Из истории авиации и космонавтики. М., 1963. Вып. 6; М., 1973. Вып. 20: М., 1975. Вып. 26, а также в кн.: First Steps Toward Stars. Wash., 1974; Essays on the History of Rocketry and Astronautics. Wash., 1977, Vol. 1, 2.; https://epizodsspace.airbase.ru/bibl/issled-po-istor/1983/01.html

34 Moore W., «On the Motion of Rockets both in Nonresisting and Resisting Mediums», Journal of Natural Philosophy, Chemistry & the Arts, 1810, 27: 276–285.

35 Bussard R.W., «Galactic Matter and Interstellar Flight», Acta Astronatica, VI, pp. 179–195, 1960.

36 Мелконян А.Н., Тюрикова Л.И., «Применение теоремы об изменении количества движения системы при поступательном прямолинейном движении ракеты в свободном пространстве под действием только реактивной силы», журнал «Актуальные проблемы авиации и космонавтики», 2010 г., номер 6, том 1, стр. 99 – 100, издательство СибГУ им. М. Ф. Решетнева («Федеральное государственное бюджетное образовательное учреждение высшего образования «Сибирский государственный университет науки и технологий имени академика М. Ф. Решетнева».»), Россия, Красноярск.

37 Fishback J.F., "Relativistic interstellar spaceflight", Acta Astronautica, 15: 25–35, 1969.

38 Whitmire D.P., "Relativistic Spaceflight and the Catalytic Nuclear Ramjet", Acta Astronautica, 2 (5–6): 497–509, May–June 1975.

39 Kash S. W., «Magnetic Space Shields», Advances in Plasma Dynamics, p. 135, 1967.

40 Martin A. R., «Structural limitations on interstellar spaceflight», Acta Astronautica, 16, р. 353-357, 1971.

41 Martin A. R., «Magnetic intake limitations on interstellar ramjets», Acta Astronautica, 18, 1-10 , 1973.

42 Платонов А.А., «Предел скорости света обусловлен ростом релятивистской инерции?

Не смеется ли над нами Природа?», издательство «Страта», Санкт-Петербург, 2022 г., 495 стр.

43 Платонов А.А., «Произвольное движение инерциальных систем отсчета и группа тригонометрических преобразований Лоренца», издательство «Страта», Санкт-Петербург, 2022 г., 209 стр.

44 Сирано де Бержерак Э.С. (Hercule Savinien Cyrano de Bergerac), дилогия «Иной свет» (L’Autre monde), первая книга дилогии «Иной свет, или государства и империи Луны» (Histoire comique des États et Empires de la Lune), 1650 г., опубликовано в 1657 г.

45 Седов Л.И., Цыпкин А.Г., §4 «Релятивистская теория полета ракеты», в кн: «Основы макроскопических теорий гравитации и электромагнетизма», Москва, издательство «Наука», главная редакция физико-математической литературы, 1989 г.

46 Станюкович К.П., «Некоторые соотношения механики фотонных ракет», приложение к книге Перельмана Р.Г. «Двигатели галактических кораблей», издательство Академии Наук СССР, Москва, 1962 г.

Санкт-Петербург, Алексей А. Платонов.

21.08. 2022 г. – 23.05.2023 г. E-mail: Lyumen.K.Flammarion@yandex.ru

Copyright © Платонов А.А. 2023 Все права защищены

Ключевые слова:

реактивное движение, Мещерский, уравнение Циолковского, Циолковский, релятивистская ракета, фотонная ракета, ускоритель частиц, термоядерная реакция, водородный цикл, аннигиляция, межзвездная среда, межзвездный газ, Бассард, Фишбек, межзвездный полет, Альфа Центавра, сверхсветовое движение, звездолет,

Keywords:

jet motion, Meshchersky, Tsiolkovsky equation, Tsiolkovsky, relativistic rocket,

photonic rocket, particle accelerator, thermonuclear reaction, hydro cycle, annihilation, interstellar medium, interstellar gas, Bussard, interstellar flight, Alpha Centauri, superluminal, overlight, starship