Добавить в корзинуПозвонить
Найти в Дзене
Buildingbook

Требуется ли дополнительно утеплять дом из газобетона?

Зачем в принципе нужна теплоизоляция стен? В общих чертах утепление стен позволяет снизить потерю тепла через стены и тем самым создать комфортные условия внутри дома и уменьшить расходы на отопление. Количество тепла, которое проходит сквозь стену, зависит от теплопроводности стены и разницы температур снаружи и внутри дома. Чем выше теплопроводность стены и больше разность температуры, тем больше тепла уйдёт через стену. Помимо стен дом теряет тепло через другие ограждающие конструкции, такие как окна, двери, пол, а также тепло тратиться на подогрев наружного воздуха при вентиляции помещений. Чтобы поддерживать уютный климат внутри дома нужно потерянное тепло возместить через систему отопления. Т.е. по сути система отопления работает над тем, чтобы возместить тепло, которое проходит через ограждающие конструкцию и систему вентиляции. Соответственно, чем ниже теплопроводность стены, тем меньше тепла через него пройдёт и будет меньше расход топлива в системе отопления. В строительстве

Зачем в принципе нужна теплоизоляция стен?

В общих чертах утепление стен позволяет снизить потерю тепла через стены и тем самым создать комфортные условия внутри дома и уменьшить расходы на отопление.

Количество тепла, которое проходит сквозь стену, зависит от теплопроводности стены и разницы температур снаружи и внутри дома. Чем выше теплопроводность стены и больше разность температуры, тем больше тепла уйдёт через стену. Помимо стен дом теряет тепло через другие ограждающие конструкции, такие как окна, двери, пол, а также тепло тратиться на подогрев наружного воздуха при вентиляции помещений. Чтобы поддерживать уютный климат внутри дома нужно потерянное тепло возместить через систему отопления. Т.е. по сути система отопления работает над тем, чтобы возместить тепло, которое проходит через ограждающие конструкцию и систему вентиляции.

Соответственно, чем ниже теплопроводность стены, тем меньше тепла через него пройдёт и будет меньше расход топлива в системе отопления. В строительстве основным показателем энергоэффективности стены является Термическое сопротивление.

Термическое сопротивление - это величина, обратная теплопроводности стены, которое измеряется в (м2 ∙ °С)/Вт. Если не вдаваться в термины, то эта величина, показывающая как хорошо стена сопротивляется передаче тепла от одной стороны в другую и чем выше это значение, тем лучше.

Термическое сопротивление материала рассчитывается по формуле:

R=δ/λ

где δ - толщина материала

λ - теплопроводность материала

Термическое сопротивление стены рассчитывается по формуле:

Rстены=1/αн+δ1/λ1...δn/λn+1/αв

где αн и αв - коэффициенты теплоотдачи от поверхности стен

δ1...δn - все толщины материалов конструкции стены

λ1...λn - теплопроводности соответствующих слоёв

Требуемое термическое сопротивление принимают согласно СП 50.13330.2012 Тепловая защита зданий.

Есть 2-а необходимых требования, которым должна соответствовать стена.

1-е требование - это максимальная разница температур между внутренней поверхностью стены и внутренней температурой воздуха. Если разница температура будет слишком высокая, то на поверхности стены в зимнее время может образоваться конденсат, что в последствии может привести к образованию плесени. Для жилых зданий разница температур не должна превышать 4 градуса.

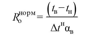
Минимальное термическое сопротивление по этому параметру вычисляется по формуле 5.4 СП 50.13330.2012

где:

R0 норм - минимальное термическое сопротивление;

(tв-tн) - разница температур между температурой внутри помещения и температурой наружного воздуха в холодный период года, принимаемая равной средней температуре наиболее холодной пятидневки обеспеченностью 0,92 по СП 131.13330;

Δtн=4 — нормируемый средний температурный перепад между температурой внутреннего воздуха tв и температурой внутренней поверхности ограждающей конструкции — τв, °С, принимаемый по таблице 5 СП 50.13330.2012 (для жилых зданий равен 4);

αв=8,7 Вт/(м2·ºС) — коэффициент теплоотдачи внутренней поверхности ограждающей конструкции, Вт/(м2·ºС), принимаемый по таблице 4 СП 50.13330.2012.

Температурой наружного воздуха в холодный период года для разных регионов страны разная, например:

Москва - минус 29°С;

Санкт-Петербург - минус 28°С;

Казань - минус 33°С;

Тюмень - минус 41°С.

Так для Тюмени минимальное термическое сопротивление стены будет:

R=(22-(-41))/(4*8.7)=1.81 (м2 ∙ °С)/Вт

Термическое сопротивление стены зависит от многих факторов, если принять теплопроводность газоблока 0,141 Вт/(м2 ∙ °С) (для блока D500), то стена из газобетона толщиной 30 см без дополнительного утепления имеет термическое сопротивление 2,28 (м2 ∙ °С)/Вт, что выше требуемых значений по разнице температур на внутренней поверхности стены и температуры помещений. Т.е. на такой стене не будет образовываться конденсат даже в Тюмени, не говоря уже про более тёплые регионы.

Также есть 2-е требование по термическому сопротивлению стены, которое тоже является необходимым для новых зданий. Согласно таблице 3 СП 50.13330.2012 минимальное термическое сопротивление стены должно быть не меньше:

для Москвы - 3,14 (м2 ∙ °С)/Вт

Санкт-Петербург - 3,14 (м2 ∙ °С)/Вт

Казань - 3,35 (м2 ∙ °С)/Вт

Тюмени - 3,66 (м2 ∙ °С)/Вт

При этом если открыть советский СНиП II-3-79 требуемое термическое сопротивление в то время меньше нынешних примерно на 42%.

Так в чём же смысл этого требования? Дело в экономике строительства и эксплуатации объекта - чем термическое сопротивление меньше, тем выше расходы на эксплуатацию. Но чтобы сделать стены более энергоэффективными требуется понести определённые дополнительные затраты. Те кто строят объекты не заинтересованы вкладывать деньги в энергоэффективность т.к. это увеличивает их затраты, а потребители в целом не задумываются насколько дом энергоэффективен и выбирают дом по другим параметрам (внешний вид, расположение, площадь, высота потолков, цена). Если все начнут строить дома с минимальным утеплением, то это приведёт к увеличенному расходу топлива. Поэтому государство регламентирует минимальное требуемое расчетное сопротивление которое по их мнению создаёт необходимый баланс между экономикой строительства и эксплуатации.

Если взять газобетон D500 без утепления, то минимальная толщина блока составит:

для Москвы - 450 мм

Санкт-Петербург - 450 мм

Казань - 475 мм

Тюмени - 500 мм.

Очень часто производители говорят что достаточно 375 мм для Москвы т.к. принимают расчётное сопротивление газоблока 0,12 Вт/(м2 ∙ °С) (для блока D500), но это не расчётное сопротивление, а значение в сухом состоянии. Расчётное значение, согласно СТО НААГ 3.1-2013 составляет 0,147 Вт/(м2 ∙ °С) (для условий Б). При этом никаких технических проблем с использованием блока 375 мм не будет т.к. термическое сопротивление гораздо выше требования по перепаду температуры. Просто при эксплуатации расход тепла на отопление дома будет несколько выше.

Если вернуться к вопросу требуется ли дополнительно утеплять стены из газобетонного блока, то тут вопрос скорее кому это нужно?

Для застройщика который продаёт дома дополнительное утепление - это дополнительные затраты, поэтому они могут построить хоть из блока 300 мм, всё равно дома будет тепло, конденсат на стенах не будет выпадать, а расходы на отопление - это не их проблемы.

Для подрядчика, который выполняет работы по строительству дома выгоднее взять блок потолще и не париться с дополнительным утеплением т.к. трудоёмкость укладки блока 400 мм, не сильно выше укладки блока 300 мм, но при этом расчёт стоимости работ, как правило, рассчитывается за 1 м3. При этом укладывать газобетонные блоки достаточно просто, а для работ по утеплению необходимы более квалифицированные рабочие.

Ну а для владельца дома необходимо найти баланс между удорожанием строительства и последующей экономией при эксплуатации.

Но тут тоже есть ньанс - неправильное утепление может только навредить конструкции стены.

Во-первых, газобетонный блок с завода имеет некоторую влажность, также при строительстве стена может быть не защищена от атмосферных осадков и стена впитает некоторое количество влаги. Необходимо дать стене просохнуть прежде чем выполнять работы по утеплению. Это актуально даже при утеплении минеральной ватой. Поэтому при строительстве дома из газобетона есть правило: вначале выполнять внутренние отделочные работы, потом уже делают наружный фасад, обычно на следующий год.

Также многие советуют утеплять стены минеральной ватой, а не пенопластом т.к. она пропускает пар через себя и в таком доме "легче дышится". На мой взгляд это больше похоже на пиар акцию производителей минеральной ваты т.к. вентиляция в доме происходит не через стены, а после поклейки обоев внутри дома паропроницаемость стены очень сильно снизится. При этом минеральная вата стоит в несколько раз дороже фасадного пенопласта. Также могу сказать, что фасадный пенопласт имеет некоторую паропроницаемость, поэтому лишняя влага из стены после монтажа сможет выйти.

Во-вторых, внутри стены зимой, при понижении температуры и достаточной влажности конструкции, может выпасть конденсат. Этот конденсат замерзнет при температуре ноль градусов. А вода имеет свойство расширяться при замерзании что в длительной перспективе может привести к образованию трещин. Чтобы этого избежать необходимо чтобы точка замерзания (или как её называют точкой росы), была в утеплителе. Простыми словами слишком тонкое утепление может сделать для стены даже хуже чем его отсутствие.

Сделаем расчёт для Москвы для стены из газобетона марки D500 толщиной 300мм + утепление 50мм пенопластом, температура внутри +22°С, снаружи -29°С:

-2

Как видим при низких наружных температурах в конструкции стены может выпасть конденсат и при этом замерзнуть. Ни внутри дома, ни снаружи вы это не заметите, но со временем это может привести к разрушению конструкции. Тем не менее это не значит что утепление в 50 мм может привести к разрушению т.к. сам материал газобетона пористый и воде есть куда расширяться внутри, а внутренняя отделка помещений выполняет функцию пароизоляции, но вероятность появления трещин всё же есть.

Теперь увеличим толщину утепления стены до 150мм:

-3

Зона конденсации значительно снизилась и температура наружной поверхности газобетонного блока выше нуля, поэтому в сильные морозы хоть и есть вероятность выпадения конденсата в стене, тем не менее внутри блока температура всегда будет положительна и кристаллизации воды не будет. Что касается утеплителя, то ему не страшно ни образование конденсата, ни замерзание воды внутри т.к. он имеет пористую структуру.

Ну и переходим к самому главному вопросу:

Требуется ли дополнительно утеплять дом из газобетона?

Утеплять стену менее 150 мм хоть и имеет экономический смысл в виде экономии на отоплении на деле вредит конструкции стены.

Поэтому мы сравним 2-е конструкции в условиях г.Москвы:

1) рекомендуемая многими строителями стена из газобетона толщиной 375мм без дополнительного утепления;

2) стена из газобетона толщиной 300 мм, с дополнительным утеплением толщиной 150 мм фасадным пенопластом.

В первую очередь сравним стоимость возведения конструкции.

Стена из газобетонного блока толщиной 375 мм:

Пеноблок D500 толщиной 375 мм, цена 5700 руб/м3

итого 0,375*5700=2137,5 руб/м2

Клей для кладки пеноблока, расход 1,3 кг/м2, цена 10,8 руб/кг

итого 0,375*5*1,3*10,8=26,33 руб/м2

Стоимость работ по сборке 2500 руб/м3

итого 0,375*2500=937,5 руб/м2

Отделка фасада - примерно 2500 руб/м2 материал+работа

Итого за всё 5601 руб/м2.

Стена из газобетонного блока толщиной 300 мм с утеплением 150 мм:

Пеноблок D500 толщиной 300 мм, цена 5700 руб/м3

итого 0,3*5700=1710 руб/м2

Клей для кладки пеноблока, расход 1,3 кг/м2, цена 10,8 руб/кг

итого 0,3*5*1,3*10,8=21,06 руб/м2

Стоимость работ по сборке 2500 руб/м3

итого 0,3*2500=750 руб/м2

Отделка фасада - примерно 2500 руб/м2 материал+работа

Утеплитель пенопласт фасадный 150 мм 4000 руб/м3

итого 0,15*4000=600 руб/м2

Работа по монтажу утеплителя 700 руб/м2 (включая дюбеля и клей)

Итого за всё 6281 руб/м2.

В итоге мы видим что устройство стены с утеплением на этапе строительства обходится примерно на 680 руб/м2 дороже чем стена без утепления.

Теперь необходимо сравнить потери тепла за период эксплуатации.

При утеплении в 150 мм термическое сопротивление стены будет значительно больше - 5,5 (м2 ∙ °С)/Вт (для стены из газоблока 300 мм+150мм утепления) против 2,63 (м2 ∙ °С)/Вт (стена из блока 375 мм без утепления).

Потеря тепла через стену за один год вычисляется по формуле:

-4

где tвнутр=+22°С (внутренняя температура воздуха здании);

tнаруж=-2,2°С (средняя температура отопительного периода для Москвы);

F=1 (площадь стены)

τ=205*24 (продолжительность отопительного периода в часах для Москвы).

R - термическое сопротивление.

Для стены 375 мм без утепления количество теплоты, которое пройдёт за 1 года равно:

Q=(22-(-2.2))*1*205*24/2,63=45271 Вт*ч

Для стены 300 мм с утеплением 150 мм пенопластом количество теплоты, которое пройдёт за 1 года равно:

Q=(22-(-2.2))*1*205*24/5,5=21648 Вт*ч

Таким образом 1 м2 утеплённой стены экономит 45271-21648=23623 Вт*ч за 1 год по сравнению с неутеплённой стеной.

Теперь нужно перевести эту цифру в деньги. Если топить электричеством, и принять КПД радиаторов за 100%, то получится 23,623кВт*ч. Цена 1 кВт*ч на 2024 год стоит 4,71 рубля. Таким образом экономия при отоплении электричеством получится 111,2 рубля за каждый 1 м2 стены в год. Утепление окупиться за 680/111,2=6,11 лет.

При наличии газа необходимо кВт перевести в МДж. 1 кВт*ч равен 3,6МДж. Таким образом экономия на утеплении составит 77,9328МДж.

Газ даёт примерно 34 МДж/м³, КПД современного котла примерно 92% итого мы получаем 31,28 МДж/м³. Стоимость газа на 2024 год составляет 6,88 руб/м3. Таким образом 1 МДж=6,88/31,28=0,22 рубля.

Экономия при отоплении газом получится 77,9328*0,22=17,15 рублей за каждый 1 м2 стены в год. Утепление окупиться за 680/17,15=39,65 лет.

С учётом того, что цена газа ежегодно индексируется, а срок службы утеплителя под слоем штукатурки составляет не менее 50 лет его использование окупиться, но срок окупаемости достаточно большой.

Итог

Без дополнительного утепления дом из газобетона вполне себе может эксплуатироваться, в нём будет тепло и уютно, но счёт за отопление будет выше. Утеплив дом вы потратите больше денег на постройку дома, но будете экономить на эксплуатации. Срок окупаемости при этом достаточно большой, но не превышает срока службы материала, поэтому дополнительное утепление в целом оправданно. При этом дополнительное утепление может потерять актуальность для более тёплых регионов чем г.Москва, и быть более актуальным для более холодных регионов.