Найти в Дзене

"Задача №1 КИМ ЕГЭ по информатике: Решаем Задние №1 ЕГЭ"

Дорогие друзья, Сегодня мы с вами вместе погрузимся в удивительный мир информатики, разгадывая тайны графов – одной из самых захватывающих тем в программе ЕГЭ по информатике. Наше приключение начнется с решения первой задачи из КИМ ЕГЭ. Но сначала давайте узнаем, что такое графы и как они применяются в реальной жизни. Интересный факт №1: Графы в Социальных Сетях Вы знали, что графы активно используются для анализа социальных сетей? Каждый человек представляет собой узел графа, а отношения между людьми – это ребра. Благодаря графовым алгоритмам и методам анализа, ученые могут изучать структуру социальных сетей и предсказывать тенденции в поведении людей. Интересный факт №2: Графы в Транспортной Логистике Еще одним примером применения графов является транспортная логистика. Дороги, железные дороги, рейсы авиакомпаний – все это можно представить в виде графа, где узлы соответствуют точкам назначения, а ребра – маршрутам. Анализ графа помогает оптимизировать маршруты и улучшить эффективнос

Дорогие друзья,

Сегодня мы с вами вместе погрузимся в удивительный мир информатики, разгадывая тайны графов – одной из самых захватывающих тем в программе ЕГЭ по информатике. Наше приключение начнется с решения первой задачи из КИМ ЕГЭ. Но сначала давайте узнаем, что такое графы и как они применяются в реальной жизни.

Интересный факт №1: Графы в Социальных Сетях

Вы знали, что графы активно используются для анализа социальных сетей? Каждый человек представляет собой узел графа, а отношения между людьми – это ребра. Благодаря графовым алгоритмам и методам анализа, ученые могут изучать структуру социальных сетей и предсказывать тенденции в поведении людей.

Интересный факт №2: Графы в Транспортной Логистике

Еще одним примером применения графов является транспортная логистика. Дороги, железные дороги, рейсы авиакомпаний – все это можно представить в виде графа, где узлы соответствуют точкам назначения, а ребра – маршрутам. Анализ графа помогает оптимизировать маршруты и улучшить эффективность транспортных систем.

Теперь, когда мы познакомились с интересными фактами, давайте приступим к решению задачи №1 из КИМ ЕГЭ по информатике.

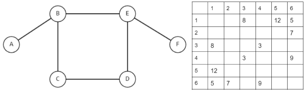
Задача №1: Сопоставление Графов

На рисунке изображена схема дорог N-ского района. В таблице обозначена длина дороги из одного населённого пункта в другой. Отсутствие числа означает, что такой дороги нет.

-2

Каждому населённому пункту на схеме соответствует номер в таблице, но неизвестно, какой именно номер.

Определите длину дороги CD.

Решение:

Для решения этой задачи нам необходимо внимательно изучить граф и его описание, а затем сопоставить их.

Сначала рассмотрим таблицу. Пропишем сколько путей имеет каждый пункт. Потом посмотрим граф и пропишем сколько дорог у каждого пункта. Таким образом мы сможем найти ответ.

Ответ: 3.

С увлечением и познанием,

Анастасия Вадимовна.