Добавить в корзинуПозвонить
Найти в Дзене

Решение 22 задания ОГЭ - графики

Постройте график функции (х²+х-6) (х²-2х-3)/х²-9 и определите, при каких значениях m прямая у=m имеет с графиком ровно одну общую точку. Всем здравствуйте! Даю консультации по подготовке к ОГЭ, ВПР и самые интересные задания публикую на канале. Публикации выходят раз в неделю. Если вам надо срочно помочь, пишите или отправляйте фото задания в комментариях, разберёмся вместе. Решение. Преобразуем числитель данной функции, предварительно разложив на множители квадратные трехчлены 👇 Преобразуем знаменатель дроби, разложив на множители квадратный двучлен по формуле сокращенного умножения 👇 Сократим данную функцию следующим образом👇 Будем строить график квадратичной функции у= х²-х-2, идентичный графику данной функции. Но учтем тот факт, что при х=3 и х=-3 знаменатель первоначальной функции обращается в нуль и функция в этих точках не существует. Найдем значение у при х=3 и х= -3. Если х=3, то у=3²-3-2=4 Если х=-3, то у=(-3)² -(-3)-2 =10 Точки с координатами (3; 4), (-3; 10)  исключае

Постройте график функции (х²+х-6) (х²-2х-3)/х²-9 и определите, при каких значениях m прямая у=m имеет с графиком ровно одну общую точку.

Всем здравствуйте!

Даю консультации по подготовке к ОГЭ, ВПР и самые интересные задания публикую на канале. Публикации выходят раз в неделю. Если вам надо срочно помочь, пишите или отправляйте фото задания в комментариях, разберёмся вместе.

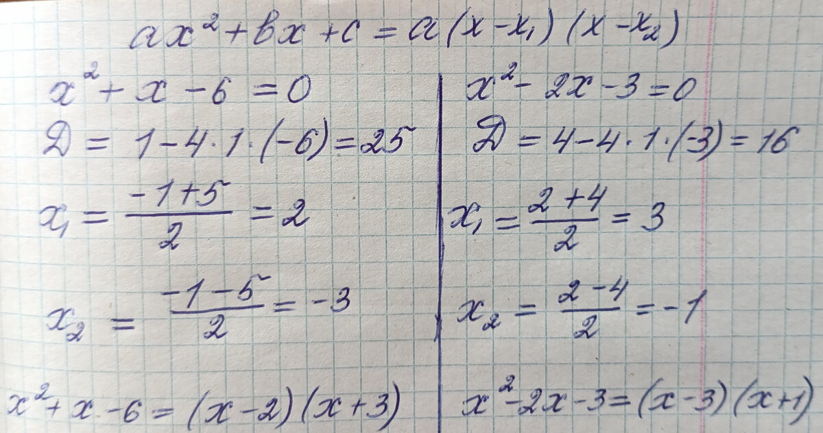
Решение. Преобразуем числитель данной функции, предварительно разложив на множители квадратные трехчлены 👇

Преобразуем знаменатель дроби, разложив на множители квадратный двучлен по формуле сокращенного умножения 👇

-2

Сократим данную функцию следующим образом👇

-3

Будем строить график квадратичной функции у= х²-х-2, идентичный графику данной функции. Но учтем тот факт, что при х=3 и х=-3 знаменатель первоначальной функции обращается в нуль и функция в этих точках не существует. Найдем значение у при х=3 и х= -3.

Если х=3, то у=3²-3-2=4

Если х=-3, то у=(-3)² -(-3)-2 =10

Точки с координатами (3; 4), (-3; 10)  исключаем из графика. 

-4

График квадратичной функции - это парабола. Найдём первую координату вершины по формуле х=-b/2a, где а и b - коэффициенты квадратного уравнения у = х²-х-2. Так как а=1, а b=-1, то

х=-(-1)/2=0,5

Найдем вторую координату вершины параболы, подставляя найденное значение х в формулу у=х²-х-2

у(0,5)=(0,5)²-0,5-2=0,25-0,5-2=-0,25-2=-2,25

Координаты вершины параболы (0,5; -2,25).

-5

Отмечаем вершину параболы на графике и от нее, как от начала координат, строим график функции у=х².

Ключевые точки для построения от дополнительной системы координат: (1; 1), (-1; 1), (2; 4), (-2; 4), (3; 9), (-3; 9).
Ключевые точки для построения от дополнительной системы координат: (1; 1), (-1; 1), (2; 4), (-2; 4), (3; 9), (-3; 9).

Ветви направлены вверх, так как коэффициент а >0.

График готов.
График готов.
Отвечаем на вопрос задачи: При каких значениях m прямая у=m имеет с графиком ровно одну общую точку?

Прямая вида у=m - это прямая, параллельная оси х. Таких прямых на графике будет три. Одна из них проходит через вершину параболы, а две другие - через выколотые точки.

Ответ: при m=-2,25; 4; 10 прямая у=m имеет с графиком ровно одну общую точку.

-8

Задание решено. Его отправила мне знакомый репетитор для консультации со мной вот с этой фотографией.

-9

В следующих публикациях покажу решения 20, 21, 24, 25 задания.

Немного о себе. Увезли внучку к родителям в город на своей машине. 29 марта мне исполнилось 62 года. Отмечали мой день рождения у дочери всей семьей. Приезжал сын. Подарили много подарков. Все родные и любимые были рядом. Я довольна.

Сейчас мы уже дома, в деревне. У нас прилетели скворцы и поселились в нашем скворечнике.

-10

Речка еще не открылась да и снега ещё полно.

Но весна уверенно вступает в свои права.
Но весна уверенно вступает в свои права.

Уважаемые читатели!

Благодарю за подписку, лайки и комментарии. Желаю радости и весеннего настроения в каждом новом дне.

Кто еще не подписался, подписывайтесь на канал, где найдёте не менее интересные задачи по математике.

С вами автор Любовь.