Найти в Дзене
TIMA_MATH

12 задание ЕГЭ "Наибольшее и наименьшее значение функций"

Теория В 12 задании ЕГЭ нас просят найти один из следующих вариантов: Но как это сделать? На самом деле не так тяжело как может показаться на первый взгляд, чтобы сделать любое из вышеперечисленных заданий нам нужно найти точки Экстремума. Для этого практически во всех заданиях нужно для начала найти производную функции. Но зачем нам производная? Давайте вспомним что такое производная. (можно посмотреть статью на канале, чтобы подробнее изучить эту тему) Производная - это скорость нашей функции. Перед любым решением задания на производную вы должны вспомнить об этом Что такое точки экстремума и как они связанны с производной, на самом деле если говорить простым языком, то точки экстремума - это точки, в которых функция меняет своё направление. А производная в этих точках равна 0, так как скорости в этих точках нету(ведь функция меняет направление) Осталось понять после нахождения точек, это точка максимума или минимума. Для этого мы чертим координатную прямую, на которой отмечаем наши
Оглавление

Теория

В 12 задании ЕГЭ нас просят найти один из следующих вариантов:

  1. Наибольшее значение функции
  2. Наименьшее значение функции
  3. Точку максимума
  4. Точку минимума

Но как это сделать?

На самом деле не так тяжело как может показаться на первый взгляд, чтобы сделать любое из вышеперечисленных заданий нам нужно найти точки Экстремума. Для этого практически во всех заданиях нужно для начала найти производную функции.

Но зачем нам производная?

Давайте вспомним что такое производная. (можно посмотреть статью на канале, чтобы подробнее изучить эту тему)

Производная - это скорость нашей функции.

Перед любым решением задания на производную вы должны вспомнить об этом

Что такое точки экстремума и как они связанны с производной, на самом деле если говорить простым языком, то точки экстремума - это точки, в которых функция меняет своё направление.

А производная в этих точках равна 0, так как скорости в этих точках нету(ведь функция меняет направление)

Осталось понять после нахождения точек, это точка максимума или минимума. Для этого мы чертим координатную прямую, на которой отмечаем наши точки. И подобно методу интервалов ставим +-+ или -+-

Запомним, если производная возрастала и начинает убывать, то это точка максимума, наоборот минимума.

Теперь можно составить план по решению задания

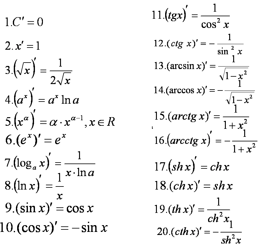
Формулы производной
Формулы производной
Производная сложной функции
Производная сложной функции

План

  1. Найти производную функции
  2. Приравнять производную к 0
  3. Найти точки при которых производная равна 0 (решить уравнение)
  4. Расставить точки максимума и минимума
  5. Найти наибольшее или наименьшее значение функции. Подставив соответственно точку max или min в функцию(если требуется)

Ну теперь перейдём к примерам

Примеры

-4
Ответ: -3
Ответ: -3
Сложная функция, воспользуюсь формулой
Сложная функция, воспользуюсь формулой
Ответ: 3
Ответ: 3
ln - это натуральный логарифм, логарифм в основании которого лежит число e
ln - это натуральный логарифм, логарифм в основании которого лежит число e
Ответ: -7
Ответ: -7

Лайфхак: В задании нас попросили найти значение y, а в самой функции есть натуральный логарифм, а натуральный логарифм хорошо считается только в двух случаях: Если в показателе число e, или если там 1. Число е в показателе давать не будут, поэтому нам надо было, чтобы x+4=1(тогда всё считается). Но если есть время, то лучше расписать

-10
Ответ: 10
Ответ: 10
Ответ: 2
Ответ: 2
Ответ: -17
Ответ: -17

Интересное задание

-14

Надо найти наименьшее значение функции, у нас 7 возводится в степень, а значит меньшее число будет там, где меньшая степень.

Нам нужно найти минимальное значение x^2+2x+3

Представим в виде функции, график функции-парабола.

Ветви направлены вверх, а значит минимальное значение в точки экстремума(Вершине параболы)

Вершина параболы равна -b/2a=-2/2=-1

Точка -1 является точкой минимума функции и вершиной параболы, подставляем

7^((-1)^2+2*(-1)+3)=7^2=49

Ответ: 49

На этом статья подходит к концу, если вы хотите порешать примеры, то можете присоединится к моему телеграмм каналу

TIMA_MATH
-15