Добавить в корзинуПозвонить
Найти в Дзене
Funmath

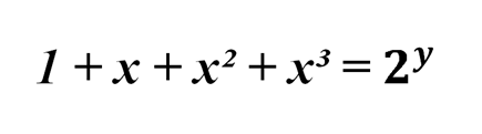
Решите уравнение

Задача №162 Предложенное ниже уравнение необходимо решить в целых неотрицательных числах. Внимательно рассмотрим левую часть уравнения: Мы можем преобразовать эту часть как Получаем уравнение По условиям задачи, х и y – целые неотрицательные числа. В правой части у нас 2 в степени y. Это означает, что оба множителя в левой части уравнения – степени числа 2. То есть и где n и m – целые неотрицательные числа. Равенство преобразуем как Подставим это значение х во второе равенство и получим Применим формулу сокращенного умножения квадрата разности, а затем сократим обе части уравнения на 2: Последнее равенство невозможно при m>1, так как в этом случае справа четное число, а слева – нечетное (при n≠0) или нецелое (при n=0).
Примечание: помним, что любое число в степени 0 равно единице. При m=0 и m=1 получаем два решения: и

Задача №162

Предложенное ниже уравнение необходимо решить в целых неотрицательных числах.

Внимательно рассмотрим левую часть уравнения:

-2

Мы можем преобразовать эту часть как

-3

Получаем уравнение

-4

По условиям задачи, х и y – целые неотрицательные числа. В правой части у нас 2 в степени y. Это означает, что оба множителя в левой части уравнения – степени числа 2. То есть

-5

и

-6

где n и m – целые неотрицательные числа.

Равенство

-7

преобразуем как

-8

Подставим это значение х во второе равенство и получим

-9

Применим формулу сокращенного умножения квадрата разности, а затем сократим обе части уравнения на 2:

-10

Последнее равенство невозможно при m>1, так как в этом случае справа четное число, а слева – нечетное (при n≠0) или нецелое (при n=0).
Примечание: помним, что любое число в степени 0 равно единице.

При m=0 и m=1 получаем два решения:

-11

и

-12