Добавить в корзинуПозвонить
Найти в Дзене
Где они?

Оценка количества обитаемых планет во Вселенной уменьшилась на порядок

Но есть и хорошая новость - оценка количества свободных планет, свободных для освоения землянами, увеличилась на ту же величину. Итак, Воздушные миры или бесплодные скалы? О живучести вторичных атмосфер вокруг планет TRAPPIST-1 Современное излучение планет TRAPPIST-1 приведет к потере земной атмосферы всего за несколько сотен миллионов лет. Если принять во внимание гораздо более активные ранние стадии развития маломассивного М-карлика, планеты претерпевают период еще более сильной потери массы, независимо от планетарной массы или состава атмосферы.Поскольку M-карлики движутся вертикально вниз по треку Хаяши на диаграмме Герцшпрунга-Рассела, начальная болометрическая и рентгеновская светимость была на один-два порядка выше, чем после достижения главной последовательности. Таким образом, планеты на стабильных орбитах будут подвергаться гораздо более высоким уровням облучения, чем после того, как родительская звезда достигла главной последовательности, даже когда они все еще находятся в

Но есть и хорошая новость - оценка количества свободных планет, свободных для освоения землянами, увеличилась на ту же величину.

Итак,

космический телескоп Джеймса Уэбба (JWST)....., в ходе первого цикла около 100 часов было посвятил планетам TRAPPIST-1. Поэтому эта система изучена необычайно подробно. Однако первые две серии наблюдений двух самых внутренних планет показывают, что у этих планет, скорее всего, отсутствует плотная атмосфера. Поэтому возникает вопрос, имеют ли планеты земной группы вокруг М-звезд атмосферу или не имеют атмосферы вообще.
космический телескоп Джеймса Уэбба (JWST)....., в ходе первого цикла около 100 часов было посвятил планетам TRAPPIST-1. Поэтому эта система изучена необычайно подробно. Однако первые две серии наблюдений двух самых внутренних планет показывают, что у этих планет, скорее всего, отсутствует плотная атмосфера. Поэтому возникает вопрос, имеют ли планеты земной группы вокруг М-звезд атмосферу или не имеют атмосферы вообще.

Воздушные миры или бесплодные скалы? О живучести вторичных атмосфер вокруг планет TRAPPIST-1

Современное излучение планет TRAPPIST-1 приведет к потере земной атмосферы всего за несколько сотен миллионов лет. Если принять во внимание гораздо более активные ранние стадии развития маломассивного М-карлика, планеты претерпевают период еще более сильной потери массы, независимо от планетарной массы или состава атмосферы.Поскольку M-карлики движутся вертикально вниз по треку Хаяши на диаграмме Герцшпрунга-Рассела,
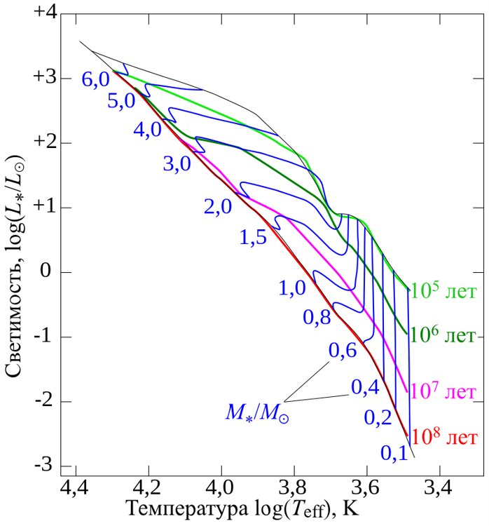
Треки Хаяши Синие числа - массы звежд в долях к массе Солнца, оранжевая линия - главная последовательность, когда светимоcть звезды стабилизируется на миллиарды (n*10^9 лет)
Треки Хаяши Синие числа - массы звежд в долях к массе Солнца, оранжевая линия - главная последовательность, когда светимоcть звезды стабилизируется на миллиарды (n*10^9 лет)

начальная болометрическая и рентгеновская светимость была на один-два порядка выше, чем после достижения главной последовательности. Таким образом, планеты на стабильных орбитах будут подвергаться гораздо более высоким уровням облучения, чем после того, как родительская звезда достигла главной последовательности, даже когда они все еще находятся в состоянии насыщения.Следовательно, обитаемая зона также существенно сократилась в течение первого миллиарда лет жизни такой планетной системы; Болометрическая светимость TRAPPIST-1 уменьшилась в 40 раз по сравнению с возрастом 10 млн лет, когда планеты земной группы предположительно достигли своей почти окончательной массы

Комментарий от меня, а из чего  они вообще собирались при такой светимости?

Это означает, что все известные планеты TRAPPIST-1 (с большой полуосью∼0,01–0,06 а.е.) находились далеко внутри обитаемой зоны в течение первых десятков-сотен миллионов лет, когда обычно предполагается формирование вторичной атмосферы....

Как будто этого было мало...

скорости потери массы, представленные в этой работе, являются нижними пределами.
Для сравнения - это трек Хаяши для Солнца
Для сравнения - это трек Хаяши для Солнца

Внутренние планеты Солнечной Системы не жарились в сорок раз более горячим светилом во время своего образования. В то время Солнце имело от 0,9 до 0,7 светимости от сегодняшнего. И с тех пор оно медленно разгоралось до нынешней единицы.

Системы красных карликов - это радикально другие условия для планет.

Желтые карлики - близкие к идеалу места для жизни, подобной нашей.

Еще одним фактором, который следует учитывать, является наличие магнитного поля. Долгое время считалось, что планетарные магнитные поля защищают атмосферу от взаимодействия со звездным ветром (например,Ходаченко и др.2012 годГюнелл и др. (2018 год)). Однако магнитное поле добавляет выход через полярный истечение и выход из каспа.показали, что из-за этих дополнительных механизмов потерь планеты с магнитными полями могут иметь такие же или даже большие потери, чем планеты без магнитных полей. Эти потери в первую очередь вызваны ионами в верхних слоях атмосферы, которых гораздо больше в представленных здесь более облученных моделях из-за фотоионизации.

То есть и магнитное поле не спасет планеты земного размера от потери атмосферы за первый миллиард лет на орбитах вокруг легких красных карликов.