Добавить в корзинуПозвонить
Найти в Дзене
«Тульские новости»

Для тысяч мусульман Тульской области начался священный месяц Рамадан

С 11 марта для всех мусульман мира, в том числе и для мусульман России, начался священный месяц Рамадан, который продлится до 9 апреля. Каждый год, он начинается в разное время. Священным этот месяц считается потому, что именно в Рамадан пророку Мухаммеду был ниспослан Коран, когда он был недалеко от Мекки. По традиции все эти дни мусульманам не разрешается есть и пить, пока за окном светло. ИА «Тульские Новости» пообщались с тульскими мусульманами и узнали подробности того, как местная община будет отмечать Рамадан. Во время Рамадана мусульмане соблюдают длительный пост, который считается одним из самых строгих среди всех религий. Само слово «саум», то есть пост, означает «полное воздержание». Верующие мусульмане в течение месяца отказываются от любой еды и воды в светлое время суток - от сухура до ифтара. Сухур - это первый прием пищи. Мусульмане стараются завтракать в темное время суток, до того, как в небе появятся первые признаки рассвета. Считается, что Аллах наградит верующего,

С 11 марта для всех мусульман мира, в том числе и для мусульман России, начался священный месяц Рамадан, который продлится до 9 апреля. Каждый год, он начинается в разное время. Священным этот месяц считается потому, что именно в Рамадан пророку Мухаммеду был ниспослан Коран, когда он был недалеко от Мекки. По традиции все эти дни мусульманам не разрешается есть и пить, пока за окном светло. ИА «Тульские Новости» пообщались с тульскими мусульманами и узнали подробности того, как местная община будет отмечать Рамадан.

Во время Рамадана мусульмане соблюдают длительный пост, который считается одним из самых строгих среди всех религий. Само слово «саум», то есть пост, означает «полное воздержание». Верующие мусульмане в течение месяца отказываются от любой еды и воды в светлое время суток - от сухура до ифтара.

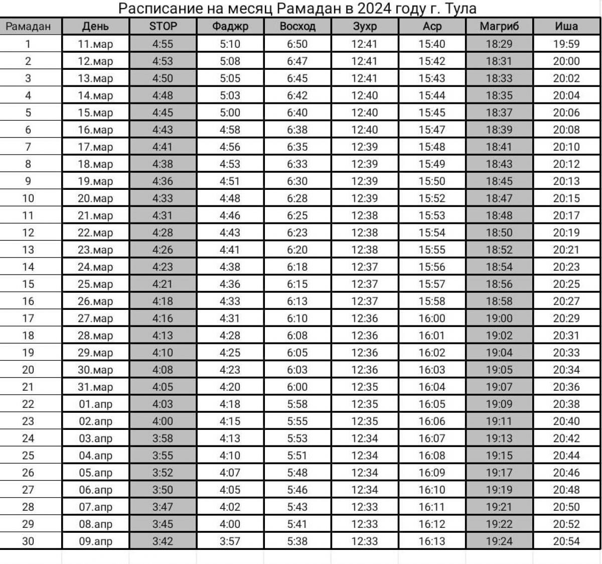
Сухур - это первый прием пищи. Мусульмане стараются завтракать в темное время суток, до того, как в небе появятся первые признаки рассвета. Считается, что Аллах наградит верующего, который будет совершать сухур как можно раньше. Времени окончания сухура соответствует указанное в таблице время утреннего намаза (фаджр). От поста освобождаются беременные, кормящие и больные женщины, дети, престарелые и те, кто занят на тяжелой работе, участвует в военных действиях и путешествует.

Ифтар - это разговение в Рамадан, последний — второй за сутки — прием пищи. Ужин начинается, когда солнце уже село. Времени ифтара соответствует время вечернего намаза (магриб) из графика намазов на Рамадан 2024. В месяцы Рамадана все верующие мусульмане должны выполнять пять намазов, молитв. Сред них фаджр — утренний; зухр — полуденный; аср - послеполуденный; магриб – вечерний; иша – ночной; таравих — желательный, его совершают после ночного. Для всех желающих мы публикуем таблицу времени совершения намазов в разное время суток.

-2

Рамадан соблюдают и мусульмане Тульской области, как нам удалось узнать, большинство верующих в эти дни будут проводить молитвенные обряды дома. В мечетях региона в эти дни немноголюдно. Как нам рассказал помощник имама в Тульской области Ахмад Азизов, представляющий МРОМ города Тулы «НУР», основное событие для верующих состоится в после Рамадана, когда 10 апреля верующие мусульмане будут праздновать праздник разговения - Ураза Байрам.

- У нас все проходит спокойно,- говорит Ахмад Азизов, верующие, в основном совершают молитвы дома. В мечети в месяц Рамадана ходит не так уж и много людей, человек по 50-100, больше собирается только на пятничную молитву. Большая коллективная молитва состоится в конце Рамадана, о месте и времени ее проведения мы сообщим. Хочу сказать, что для мусульман в этот священный месяц очень важно совершать добрые дела. Сегодня это актуально как никогда. Еще до священного месяца к нам стали приходить люди, желающие стать волонтерами и помогать многодетным и малообеспеченным семьям, пожилым людям и инвалидам. Кто-то может помочь деньгами, кто-то продуктами, кто-то готов развозить помощь по домам нуждающихся на своей машине. Еще хотелось бы дать совет тем, кто будет держать пост впервые, не пейте газированную воду соки и не ешьте жирную пищу. После того как употреблять пищу станет можно, старайтесь сразу не есть много, принимайте пищу медленно и постепенно. Начать лучше со стакана воды с финиками.