Найти в Дзене
Инжинирия

Изготовление соединительных деталей трубопроводов, транспортирующихсреды с содержанием сероводорода - серьезная задача.

Магистральные и промысловые нефте- и газопроводы, при добыче и транспортировки нефти и газа, зачастую работают в экстремальных климатических и природно-геологических условиях, контактируя с коррозионно-агрессивными продуктами; их разрушение сопровождается крупными материальными потерями и экологическими катастрофами. Сероводород, содержащийся в транспортируемом газе (продукте), вызывает также коррозионное растрескивание труб, арматуры, соединительных деталей трубопроводов, корпусов оборудования и сварных соединений. Истощение легкодоступных нефтяных и газовых месторождений явилось причиной активного освоения в последние годы газоконденсатных месторождений, отличающихся повышенной коррозионностью промысловых сред. В связи с этим разработка нефтяных и газовых месторождений неразрывно связана с коррозионным разрушением, как нефтегазового оборудования так и трубопроводов, вследствие повышенной коррозионной активности транспортируемого продукта. В большинстве случаев коррозионная активнос

Магистральные и промысловые нефте- и газопроводы, при добыче и транспортировки нефти и газа, зачастую работают в экстремальных климатических и природно-геологических условиях, контактируя с коррозионно-агрессивными продуктами; их разрушение сопровождается крупными материальными потерями и экологическими катастрофами. Сероводород, содержащийся в транспортируемом газе (продукте), вызывает также коррозионное растрескивание труб, арматуры, соединительных деталей трубопроводов, корпусов оборудования и сварных соединений.

Истощение легкодоступных нефтяных и газовых месторождений явилось причиной активного освоения в последние годы газоконденсатных месторождений, отличающихся повышенной коррозионностью промысловых сред. В связи с этим разработка нефтяных и газовых месторождений неразрывно связана с коррозионным разрушением, как нефтегазового оборудования так и трубопроводов, вследствие повышенной коррозионной активности транспортируемого продукта. В большинстве случаев коррозионная активность перекачиваемой нефтегазовой эмульсии определяется агрессивностью водной фазы, ее химическим и физическим состоянием - составом и концентрацией растворенных солей, наличием кислорода и кислых газов (углекислого газа, сероводорода), их парциальным давлением, температурой, скоростью движения и характером потока. Механизм разрушения носит сложный характер, зависит от ряда технологических факторов: температуры, кислотности среды рН, структуры и твердости металла, уровня напряжений и др.

Сероводородному коррозионному растрескиванию (далее СКР) подвергается соединительные детали трубопроводов, транспортирующих сероводородсодержащие среды (тройники, отводы, переходы, днища) из углеродистых и низколегированных сталей при наличии в металле растягивающих (в т.ч. остаточных) напряжений в средах, содержащих влагу и Н2S, парциальное давление которого в газовой фазе выше 0,0003 МПа. Растягивающие напряжения могут быть вызваны рабочими нагрузками, особенностями сварки, деформацией при изготовлении деталей. При указанном парциальном давлении Н2S наводороживание может стать настолько значительным, что сообщает стали ощутимую для прочности хрупкость. В растворах типа дренажных вод, в аппаратах в отсутствии Н2S проникновение водорода в сталь возможно только при рН менее 4. В сероводородных растворах диффузия водорода в углеродистую сталь происходит в интервале значений рН от 1,5 до 11,5. СКР подвержены стали с относительно высоким значением предела прочности (или с большими внутренними напряжениями); мягкие ненапряженные стали в подобных условиях подвергаются расслоению с образованием пузырей (отдулин).

Объем металла контактирующего с коррозионно-активной рабочей средой слагается из материала промысловых трубопроводов, включая материал арматуры, технологического оборудования, большую часть которого составляют аппараты работающие под давлением, а также приборы автоматики. Кроме того, в средах в присутствии влаги происходит электрохимическая в т. ч. сплошная локальная коррозия внутренней поверхности труб и оборудования.

Соединительные детали трубопроводов, транспортирующих сероводородсодержащие среды являются специальными изделиями. Соединительные детали должны изготавливаться в заводских или полустационарных условиях, обеспечивающих достаточно надежный входной контроль материалов, качественную сборку и сварку, контроль неразрушающими методами, термическую обработку и гидроиспытание. Соединительные детали должны изготовляться из коррозионностойких труб протяжкой через рогообразный сердечник после нагрева в печи или ТВЧ, гибкой после нагрева ТВЧ, горячей штамповкой или сваркой.

Задачей для проектировщиков, изготовителей соединительных деталей трубопроводов, ремонтников является, в каждом конкретном случае, для каждого месторождения, трубопровода, подобрать необходимый материал из номенклатуры выпускаемой заводами. В этой связи необходимо руководствоваться вышеуказанными действующими правилами и рекомендациями.

При конструировании соединительных деталей трубопроводов всякий раз обнаруживается отсутствие и очевидную необходимость создания нормативной документации, регламентирующей требования к конструкции и материалам, пригодным для эксплуатации в «кислых» средах.

В настоящее время существуют руководящие документы и инструкции по выбору материалов труб, арматуры, соединительных деталей трубопроводов, корпусов оборудования, также по их сварке, сборке и т. п. Национальной Американской Ассоциации инженеров коррозионистов NACE MR0175 - 2003[1], NACE TM01 84-2003[2], NACE ТМ 02 84-2003[3],; Российского МСКР-01-85[4],, ВНИИГАЗа и ВНИИСТа.

Введенный в 2003 году стандарт NACE MR0175/IS0 15156[5], является в настоящее время гармонизированным международным стандартом, в разработке которого помимо NACE принимала участие Европейская федерация по коррозии (EFC). Этот документ на сегодняшний день является основным, регламентирующим выбор материалов, стойких к воздействию сероводородсодержащих сред.

Однако это не снимает затруднений на уровне конструкторов, проектировщиков при принятии технических решений по применению соединительных деталей трубопроводов. Наиболее приемлемым нормативным документом для проектировщиков, изготовителей соединительных деталей трубопроводов, ремонтников является ТУ 1468-010-593377520-2003 [6].

Внедрение этих норм позволяет более четко определить новые материалы труб, химический состав материалов, их механические свойства из которых изготавливаются соединительные детали трубопроводов. Кроме того, определены новые сварочные материалы, новые технологические процессы сварки, дополнительно, введена послесварочная термическая обработка изделий и отдельных швов, введен предварительный подогрев изделий перед началом сварки и другие мероприятия.

Трубы (катушки) и листы должны соответствовать техническим условиям на поставку и иметь сертификат (паспорт) завода-изготовителя и соответствующую маркировку.

В сертификатах на поставляемые трубы, листы должны быть сведения о проведении лабораторных испытаний металла труб на сероводородное растрескивание по методикам МСКР 01-85 или NACE TM0177-2005 (метод А) [7], и водородного растрескивания с указанием показателей длин трещин GLR и толщин трещин CTR при испытании по методике NACE ТМ0284-2003.

Бесшовные трубы должны быть полностью раскисленными и мелкоозернистыми и должны поставляться в нормализованном и отпущенном или закаленном и отпущенном состоянии. Сварные трубы, изготовленные из прокатанной толстолистовой стали, должны быть сделаны из полностью раскисленной и мелкозернистой толстолистовой стали, и изготавливаться с помощью процесса доводки плавки с низким содержанием серы и фосфора.

При проведении входного контроля, проведения анализа технической документации, в сертификатах на поставляемые трубы, анализируется химический состав стали. Углерод должен быть ограничен содержанием 0,15 %, чтобы после завершения сварки не появлялись тенденции к образованию карбидной фазы, к закалке и образованию мартенситных структур. Содержание марганца должен быть ограничено содержанием в пределах 1% , чтобы не увеличивать бейнитную составляющую, которая играет отрицательную роль на стойкость к наводораживанию.

Вредные примеси в стали серы (S), фосфора (Р) должны быть ограничены содержанием в пределах 0,010 % и 0,025 % соответственно, чтобы уменьшить образование неметаллических включений и возможность выделений их в межзерных границах.

Наличие меди (Cu) оказывает благоприятное влияние, т. к. ее присутствие в стали уменьшает способность стали поглощать водород. В низколегированных сталях положительную роль играет алюминий (Аl) при содержании 0,2-0,6 % , в составе стали он замедляет диффузию водорода. В результате химический состав стали ограничивается содержанием в нем следующих элементов ( вес %) :

С ≤ 0,15; S ≤ 0,35; Mn ≤ 1,0; P ≤ 0,025; S ≤ 0,010; Cu ≤ 0,3; Cr ≤ 0,3;

Mo ≤ 0,10; Nb ≤ 0,04; W ≤ 0,07.

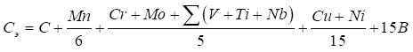
Эквивалент углерода низкоуглеродистых и низколегированных сталей (Сэ) рассчитывается по формуле:

не должен превышать 0,38 где С, Mn, Cr, Mo, V, Ti, Nb, Cu, Ni, B -содержание (% от массы) в составе металла трубной стали соответственно углерода, марганца, хрома, молибдена, ванадия, титана, ниобия, меди, никеля, бора.

Трубы и листы должны быть проверены на свариваемость с применением стандартных методик. Толщины стенок соединительных деталей трубопроводов, корпусов арматуры, корпусов аппаратов и другого оборудования рассчитываются аналогично, со снижением допускаемого напряжения до 0,4 - 0,5 σ 0,2 и зависит от категории трубопровода.

Механические свойства металла труб должны быть в пределах:

Временное сопротивление разрыву σв , МПа;

420 ÷ 520

Предел текучести σ 0,2, МПа;

300 ÷ 400

Относительное удлинение не менее ε %, 24;

Повышение твердости и прочности стали, связано, как правило, с повышением склонности ее растрескиванию под напряжением. Поэтому твердость стали изготовленных изделий ограничивается максимальной величиной не более 238 НV10

Размер зерна металла труб должен быть не более размера зерна, соответствующего номеру 9 по шкале 1 ГОСТ 5639.Загрязненность металла сульфидами, оксидами, силикатами не должна превышать по среднему балу 2,5,нитридами - 1 баллу по шкале ГОСТ 1778.Полосчатость структуры должна быть не более 2,5балла.

Стойкость к коррозионному растрескиванию при тестировании должна быть :

к водородному растрескиванию(HIC тест), определяемой показателем CLR - не более 3% ;

к сульфидному растрескиванию под напряжением (SSC тест) - не менее 75-80 % от σ 0,2

Трубы должны быть проверены на свариваемость с применением стандартных методик. Цель оценки свариваемости труб - получение предварительной информации о свойствах сварного соединения. Данные о свариваемости учитываются при разработке технологических Инструкций, рекомендаций по сварке и ремонту газопроводов. Вопросы свариваемости труб, трубных узлов (методы испытаний, тип образцов, объем и условия испытаний, критерии) рассматриваются и устанавливаются Заказчиком при обязательном участии специалистов-сварщиков подрядчика осуществляющего сварочно-монтажные работы и специалистов ОАО УзЛИТИнефтегаз, на стадиях:

а) разработка исходных (технических) требований на поставку труб, трубных узлов;

б) рассмотрение и согласование технических условий;

в) разработка технологических Инструкций по сварке газопроводов.

Конструкция приварных соединительных деталей должна, как правило, соответствовать требованиям ГОСТ 17375 :- 17380 и др. «Инструкции по проектированию и применению соединительных деталей для трубопроводов, транспортирующих газ, содержащий сероводород» [9], . Эти требования распространяются на соединительные детали следующего конструктивного исполнения:

тройники сварные, с усиливающими накладками;

тройники с вытянутой горловиной, кованные, штампосварные;

отводы крутоизогнутые;

отводы гнутые и штампосварные (t = 600 оС);

отводы сварные секционные;

переходы штампосварные и штампосварные с углом не более 15 оС;

заглушки и днища эллиптические.

При изготовлении соединительных деталей для трубопроводов, транспортирующих газ, содержащий сероводород выбор оптимальных условий сварки, сварочных материалов, применение дополнительных технологических мероприятий являются необходимым условием в обеспечении надежности и работоспособности сварных стыков фитингов.

Сварочные материалы (электроды) должны быть аттестованы на соответствие требований ГОСТ 9466-75, ГОСТ 9467-75 (разд. III, п. 1.2). Наплавленный металл и сварное соединение должны быть испытаны на коррозионную стойкость по NАСЕ ТМ-01-77 (МСКР-01-85), ТМ-02-84 .

Применяемые соединительные детали должны поставляться термически обработанными по режиму: нормализация, нормализация-отпуск, закалка-отпуск.

Термическая обработка производится для снижения уровня остаточных сварочных напряжений, которые являются одним из факторов, определяющих склонность к коррозионному растрескиванию, и ликвидации элементов неравновесных структур.

Термической обработке (режим высокого отпуска) подлежат все сварные, кованные, штампованные и гнутые соединительные детали трубопроводов, транспортирующих сероводородсодержащий газ, независимо от толщины стенки трубы и величины эквивалента углерода.

Режим термической обработки стыков трубопроводов устанавливается в соответствии с проектной документацией.

По окончании работ производится приемка готовых деталей и испытание выборочных из партии образцов с проверкой качества и соответствия деталей вышеуказанным требованиям при этом представляют сертификат термической обработки, список термистов с указанием должностей, удостоверений, клейма, а также заключение о химсоставе материала, об уровне твердости месте с другой исполнительной документацией.

Институтом ОАО УзЛИТИнефтгаз совместно с УП "Трубодеталь", на действующей нормативной основе, разработаны конструкции соединительных деталей для трубопроводов, в том числе транспортирующих газ, содержащий сероводород наиболее часто применяемых при строительстве, реконструкции, ремонте трубопроводов. Номенклатура составляет более полутора десятка тысяч. Изготовление этих деталей полностью освоено УП "Трубодеталь" и на сегодняшний день в отрасли подавляющей объем работ в течении 15 лет производится с помощью этих деталей.

Соединительные детали для трубопроводов, транспортирующих газ, содержащий сероводород при выполнении вышеуказанных рекомендаций, как правило, надежно служат десятки лет без видимых следов коррозии и трещин.

Литература.

1. Стандарт NACE MR0175-95. Металлические материалы для оборудования нефтедобывающей промышленности, стойкие к растрескиванию под действием напряжений в сульфидсодержащей среде.

2. Стандартная методика NACE ТM 0184-96. лабораторные испытания металлов на стойкость к растрескиванию под действием сероводородной коррозии в среде содержащей Н2S.

3. Стандартная методика NACE ТM 0284-96. Оценка сталей для трубопроводов и сосудов высокого давления на предмет стойкости к водородному растрескиванию.

4 . МСКР 01-85 «Методика испытаний сталей на стойкость против сероводородного коррозионного растрескивания»

5 NACE MR0175/IS0 15156 «Нефтяная и газодобывающая промышленность — Материалы для применения в H2S-coдержащих средах для добычи нефти и природного газа»

6. ТУ 1468-010-593377520-2003.Соединительные детали трубопроводов стальные приварные бесшовные повышенной эксплутационной надежности предназначенные для обустройства месторождений ОАО "ТНК".

7. NACE TM0177-2005 «Стандартный метод испытаний. Лабораторные испытания металлов на сопротивление сульфидному растрескиванию под напряжением и коррозионному растрескиванию под напряжением в H2S-содержащих средах»

8. «Инструкция по проектированию и применению соединительных деталей для трубопроводов транспортирующих газ содержащий сероводород» Москва, Миннефтегазстрой, Мингазпром 1986г.