Найти в Дзене
valentina

задача с параметром 17 вариант 4

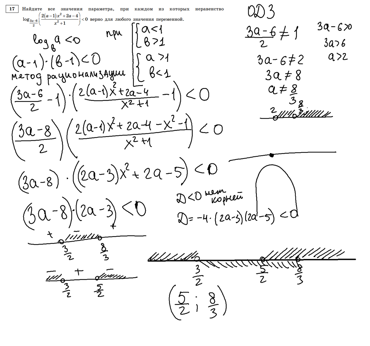
Найдите все значения параметра, при каждом из которых неравенство верно для любого значения переменной. В этой задаче надо, чтобы неравенство было верно для любого значения переменной. Для упрощения я применила метод рационализации, и чтобы квадратный многочлен был всегда меньше нуля, надо чтобы старший коэффициен был меньше нуля (ветви параболы направлены вниз), и дискриминант был меньше нуля (нет корней). в пересечении этих условий находим промежуток
Мирошин Вариант 4 номер 17
Мирошин Вариант 4 номер 17

Найдите все значения параметра, при каждом из которых неравенство верно для любого значения переменной.

-2

В этой задаче надо, чтобы неравенство было верно для любого значения переменной. Для упрощения я применила метод рационализации, и чтобы квадратный многочлен был всегда меньше нуля, надо чтобы старший коэффициен был меньше нуля (ветви параболы направлены вниз), и дискриминант был меньше нуля (нет корней).

в пересечении этих условий находим промежуток

какая красота
какая красота