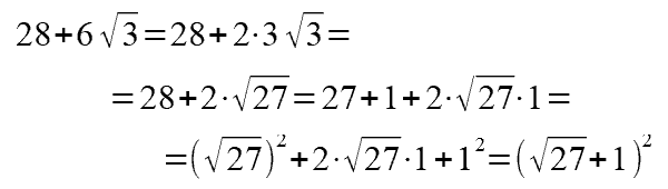
В школьном курсе математики, особенно в курсе алгебры, у учеников нередко формируется довольно своеобразный стереотип мышления, который ощутимо может мешать решать задачи. Я бы назвал его «неприятием усложнения». Возникновение такой штуки, как мне это видится, провоцируется весьма распространённым типом заданий по алгебре по упрощению какого-либо выражения. Многие помнят, как они, задания эти, выглядят? Даётся какая-нибудь громоздкая трёхэтажная дробь с кучей скобок и ученику предлагается посредством алгебраических преобразований уменьшить её «габариты» – привести подобные члены, сократить множители и т. п. В результате мышление со временем затачивается так, что если выражение выглядит слишком просто и ученик сходу не видит типовых способов упрощения (например, возможности применить какую-нибудь формулу сокращённого умножения), то он просто впадает в ступор, не понимая, как с этим можно ещё что-то сделать. Для иллюстрации описанной ситуации могу привести этап решения задачи, когда получается нуждающийся в дальнейшем упрощении корень уравнения вида
Характерно, что многие задания как для абитуриентов, так и для вузовских студентов, нередко содержат что-то подобное, а для успешного продвижения к ответу требуется приём, который можно описать так: чтобы исходное математическое выражение упростить, его надо принудительно усложнить. В упомянутой задаче ключевые действия таковы:
Заходит такой подход в юные головы тяжеловато – когда я занимался репетиторством, неоднократно наблюдал, как учеников переклинивает и демонстрируемое им искусственное усложнение воспринимается, будто я какую-то особую магию показываю. Трудность восприятия усиливалась ещё и некоторой неочевидностью – откуда это я знаю, что надо поступить вот эдаким образом? Например, при т. н. «выделении полного квадрата» не сразу приходит понимание почему именно такие слагаемые надо вот здесь, в выражении, прибавить и тут же вычесть:
x² + 6x – 5 = x² + 2·x·3 – 5 = x² + 2·x·3 + 3² – 3² – 5 =
= (x² + 2·x·3 + 3²) – 9 – 5 = (x + 3)² – 14
Вспоминая свои школьные годы, могу сказать, что подобный принцип решения тоже поначалу вызывал недоумение. Однако оказалось, что регулярной практикой обсуждаемый стереотип вполне успешно «ломается», благодаря чему, когда по ходу решения «упёрся» во что-то на первый взгляд дальше неупрощаемое, заметно быстрее приходит мысль: «А не попробовать ли сюда добавить слагаемое (и тут же вычесть)?» И в ряде случаев это действительно срабатывало.
Насколько мне известно, некоторые учителя математики при рассмотрении способов решения квадратных уравнений ограничиваются стандартной формулой с дискриминантом, мол, вот вам – берёте и шпарите по ней. Мне повезло, ибо у нас учительница так не поступала. По стандартной формуле мы, конечно, решали, но на уроках разбирались и другие методы: отдельное занятие выделялось на решение по теореме Виета, а ещё – по применению уже упомянутого выше метода выделения полного квадрата. Умение узреть в произвольном квадратном трёхчлене возможность преобразовать его так, чтобы в нём разложение квадрата суммы («полный квадрат») стало буквально очевидным, позволяло решить уравнение, а следом это подспудно внушало мысль в случае иных задачек смелее искать пути решения, когда «всё уже просто» и непонятно, что с выражением делать.
Боязнь громоздких на вид математических выражений может возникать ещё и из-за того, что если ученик при выполнении задания совершает в выкладках ошибку, то вместо упрощения у него всё идёт наперекосяк, начиная усложняться. Обычно именно это служит тревожным сигналом «что-то пошло не так!», поскольку многие привыкают к тому, что ответы в школьных заданиях должны получаться «красивыми». Последнее вполне объяснимо – составители задачников, подбирая упражнения, сами тяготеют к подобной «красоте». Мне же здесь тоже особым образом повезло – в старших классах школы у нас были подготовительные курсы, которые вела преподавательница из Политеха (НГТУ им. Алексеева Р.Е.). На них мы решали разные усложнённые задачи. Что характерно, по итогу этих занятий ужас перед «страшными» выражениями и «некрасивыми» ответами был у меня успешно развеян.
Пригодилось ли всё это мне потом? Да, вполне – как минимум, не единожды облегчая усвоение материала из курса высшей математики во время учёбы на химфаке. Как-то на парах по «матану» мы дошли до темы неопределённых интегралов и лекторша не просто давала таблицу первообразных,. как в школе (вот вам функция, а вот интеграл от неё – пользуйтесь), а все типовые формулы она при нас же скрупулёзно выводила. В один момент, когда преподавательница пыталась что-то как-то преобразовать, я сразу же увидел знакомый приём – она начала выделять полный квадрат, а в это же время по рядам в лекционной аудитории прокатился лёгкий ропот недоумения – многие мои однокурсники смотрели на доску и откровенно не понимали, что там вытворяют, начав зачем-то приписывать какие-то дополнительные слагаемые. Потом-то да, всё хорошо и благополучно закончилось – получилась функция, от которой легко взялся интеграл, а результат совпал (внезапно!) с тем, который был в учебнике.
Какова будет итоговая мораль ко всему сказанному? С одной стороны – весьма банальной и даже чуток пафосной: не стоит пасовать перед трудностями. С другой стороны – подобный вывод обязательно нужно дополнить тем, что навык не бояться пытаться преодолевать сложности можно выработать целенаправленно, использовав для тренировок, например, уроки алгебры в школе – при желании такое умение в дальнейшем транслируется и на другие сферы деятельности. Разумеется, не у всех попадаются такие учителя, какие были у меня, но даже в мои школьные годы эта проблема, стоило её осознать, была вполне разрешимой, а ныне при доступности Интернета с морем бесплатных для скачивания материалов и видеоуроков в свободном доступе нужно совсем немного – просто захотеть что-то делать.
