ฅ^•ﻌ•^ฅ Пора тренироваться 2. Блок: Раскройте скобки и приведите подобные Ответы: P.S.:Вы можете связаться со мной, если хотите понять математику, улучшить свои навыки или подготовиться к экзаменам!
Телеграмм: @DVV01
ฅ^•ﻌ•^ฅ Пора тренироваться 2. Блок: Раскройте скобки и приведите подобные Ответы: P.S.:Вы можете связаться со мной, если хотите понять математику, улучшить свои навыки или подготовиться к экзаменам!
Телеграмм: @DVV01
...Читать далее
ฅ^•ﻌ•^ฅ Пора тренироваться
2. Блок:
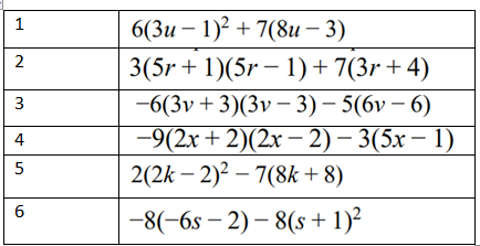
Раскройте скобки и приведите подобные
Ответы:
P.S.:Вы можете связаться со мной, если хотите понять математику, улучшить свои навыки или подготовиться к экзаменам! Телеграмм: @DVV01