Добавить в корзинуПозвонить
Найти в Дзене

И снова про сочетания рун, но уже под другим углом

Посмотрим ещё на то, как руны читаются комплексно? Бывает так, что делаешь расклад и к руке просто липнут две руны вместо одной. Было, да?))) И что нужно делать? Правильно читать их в связке. Две руны - это как слоги:
М + А = МА.
Феху + Ансуз = ФехуАнсуз. Ну, с буквами понятно. А с трактовками как? У меня две новости: хорошая и еще лучше. Первая: этому тоже нужно будет уделить время.
Вторая: вас ждут потрясающие открытия в этом исследовании - это увлекательно и самопознавательно. Ну, и из серии новостей "не очень" - нет справочника, в котором бы вы нашли описания этих сочетаний. Если кто-то утверждает обратное, не верьте, лгут и не краснеют. Кто помнит, что такое "Теория чисел"? Предмет такой в высшей математике есть. Так вот, если обратиться к одной формуле, которая рассчитывает количество сочетаний, то по паре рун это будет 276 описаний. А теперь вспоминаем про контекст и выясняем, что у нас от 8 до 10 сфер в жизни и в каждой руне свои смыслы, получаем 276 х 8 = 2208. А если не 2

Посмотрим ещё на то, как руны читаются комплексно?

Бывает так, что делаешь расклад и к руке просто липнут две руны вместо одной. Было, да?)))

И что нужно делать? Правильно читать их в связке. Две руны - это как слоги:
М + А = МА.
Феху + Ансуз = ФехуАнсуз.

Ну, с буквами понятно. А с трактовками как?

У меня две новости: хорошая и еще лучше.

Первая: этому тоже нужно будет уделить время.
Вторая: вас ждут потрясающие открытия в этом исследовании - это увлекательно и самопознавательно.

Ну, и из серии новостей "не очень" - нет справочника, в котором бы вы нашли описания этих сочетаний. Если кто-то утверждает обратное, не верьте, лгут и не краснеют.

Кто помнит, что такое "Теория чисел"? Предмет такой в высшей математике есть.

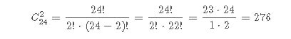
Так вот, если обратиться к одной формуле, которая рассчитывает количество сочетаний, то по паре рун это будет 276 описаний.

Число сочетаний из 24 по 2
Число сочетаний из 24 по 2

А теперь вспоминаем про контекст и выясняем, что у нас от 8 до 10 сфер в жизни и в каждой руне свои смыслы, получаем 276 х 8 = 2208.

А если не 2 руны, а 3 руны? 2024 описания.

Число сочетаний из 24 по 3
Число сочетаний из 24 по 3

Умножим на 8? 2024 х 8 = 16192

Впечатляет?

А вы ещё пытаетесь трактовать свои расклады по буклетикам в руническом наборе?)))

Появляется понимание, почему нет смысла переписывать чьи-то трактовки? Или почему вы не найдете нигде справочника, в котором есть все описания рун на все случаи жизни?

Надеюсь цифры вас убедили.

И "чё делать-то?"

Все очень просто, разбираться в механике и тренировать навык.

Как только мы понимаем, что предыдущая модель не работает, так сразу высвобождается огромное количество энергии на поиск иных путей решения задачи, правда?

Просто опять услышала, Лена, поделись своими табличками со смыслами, и будет мне щастье)))

Признаюсь - у меня таких табличек нет, хотя на начальном этапе тоже занималась переписыванием и попытками систематизировать то, что пишут разные авторы.

Состояние могу описать только как - "больно" и "взрыв мозга".

Ладно, поехали дальше.

Итак, вчера мы смотрели на сочетания, как на причинно-следственные связи.

Сегодня я хочу показать другой вариант: когда нам нужно прочитать руны как единый смысл.

И, конечно, давайте на примерах:

Иса + Вуньо:
Иса - структура, лед, холод, пауза, остановка
Вуньо - радость, благополучие, спокойствие, уверенность
ИсаВуньо - хладнокровие, спокойная уверенность, невозмутимость, четкое понимание, перерыв на десерт, перекур (крайние два, как остановка с некой долей удовольствия), ...

Уловили? Давайте еще попробуем. И разбивку на контексты я сейчас делать не буду, думаю вы понимаете)))

Что там я в самом начале писала? ФехуАнсуз

Феху + Ансуз:
Феху - достаток, ресурс, опора
Ансуз - знания, инсайт, озарения, поддержка богов
ФехуАнсуз - опора на знания, интеллектуал, человек умственного труда, ученый, служитель культа, жрец, философ, ...

Видите механизм? Ещё?

Дагаз + (пп)Тэйваз, где "пп" - перевернутое положение
Дагаз - день, свет, свобода, ответственность, варианты выбора, пространство вариантов
Тэйваз - цель, целеустремленность, направленность, честь, самопожертвование, миссия, воин, мужчина, Ян, руководитель, авторитет
=> пп Тэйваз - отсутствие или убывание всех перечисленных выше качеств.
Дагаз(пп)Тэйваз - свобода от обязательств, отсутствие стремлений, безынициативность, эгоизм, фантазер, сказочник, возможен вариант писателя, осознанно-подчиненное положение (жертва, исполнитель, человек передающий право решения другому), инфантилизм, ...

Как вам нравится?

Надеюсь, что суть механики передала. Дальше только тренировки.

Все, что нам нужно знать - это базовые смыслы рун и учиться видеть их вокруг себя.

В общем, пробуйте. Повторюсь - это очень интересно, исследовать руны. Очень много мы понимаем про свое восприятие мира и про свое место в нем.

Если обратить внимание на пример Дагаз(пп)Тэйваз, то прочитайте ещё раз описанные мной характеристики и ответьте себе на вопрос: что вы чувствуете к каждой?

Зачем я об этом спрашиваю? Напомнить, что оценка, чувство - это только ваше отношение, а не "хорошо/плохо", которое дают руны.

Руны нейтральны по определению. Это просто база данных. Как информация в вашем компьютере. Набор символов из которых собирается смысл.

Для ПК это только набор нулей и единиц, не теплый и не холодный, не красный и не синий, не соленый и не мокрый. Просто информация.

"Свобода от обязательств" - такое себе, правда? А если человек чувствует эту свободу выйдя из ЗАГСа со "Свидетельством о разводе" после душного и длительного брака?

Или "эгоизм" для того, кто всю жизнь старался быть хорошим и чутким ко всем, кроме себя? Кто вдруг понял, что всё время делал только то и так, чтобы родные, близкие, знакомые, коллеги думали о нем хорошо? И вдруг, аллилуйя(!!!) до него доходит, что для всех хорошим не стать и просто жизненно необходимо думать о себе.

Это уже философия. Но в рунах её очень много, поэтому я так часто скатываюсь)))

Я очень хочу верить, что эти статьи несут практическую пользу в освоении предмета.

Передать в них весь объем, который прорабатывается на обучении невозможно, также как составить полный справочник по трактовке рун.

Но хотя бы кусочек практически полезных приемов я показать хочу. Таких, которые можно уместить в относительно небольшой объем. Мне этого самой очень сильно не хватало.

Ну, пока. До встречи в следующей статье.

Да, есть вопросы, пишите)))