Добавить в корзинуПозвонить
Найти в Дзене

Расчет медианы в треугольнике.

Отрезок, соединяющий вершину треугольника с серединой противоположной стороны, называется медианой треугольника. Любой треугольник имеет три медианы. Свойства медианы треугольника. Медиана делит треугольник на два треугольника равного размера (то есть на треугольники с одинаковой площадью). Медианы треугольника пересекаются в одной точке, которая делит каждую из них в соотношении 2: 1, начиная с вершины. Эта точка называется центром тяжести треугольника. Весь треугольник делится на его медианы на шесть треугольников равного размера. В равнобедренном треугольнике медиана, опустившаяся до основания, является биссектрисой и высотой. В равностороннем треугольнике любая медиана - это высота и биссектриса. Точка пересечения медиан в треугольнике называется центроидом и является центром тяжести треугольника. Точка пересечения медиан единственная из золотого сечения треугольника, имеет реальный физический смысл. Если из картона вырезать треугольник, тонким карандашом провести в нем медианы, то

Отрезок, соединяющий вершину треугольника с серединой противоположной стороны, называется медианой треугольника.

Любой треугольник имеет три медианы.

Свойства медианы треугольника.

Медиана делит треугольник на два треугольника равного размера (то есть на треугольники с одинаковой площадью).

Медианы треугольника пересекаются в одной точке, которая делит каждую из них в соотношении 2: 1, начиная с вершины. Эта точка называется центром тяжести треугольника.

Весь треугольник делится на его медианы на шесть треугольников равного размера.

В равнобедренном треугольнике медиана, опустившаяся до основания, является биссектрисой и высотой.

В равностороннем треугольнике любая медиана - это высота и биссектриса.

'
'
Медианы в равнобедренном треугольнике
Медианы в равнобедренном треугольнике
'
'

Точка пересечения медиан в треугольнике называется центроидом и является центром тяжести треугольника. Точка пересечения медиан единственная из золотого сечения треугольника, имеет реальный физический смысл. Если из картона вырезать треугольник, тонким карандашом провести в нем медианы, то точка их пересечения будет центром тяжести плоской фигуры.

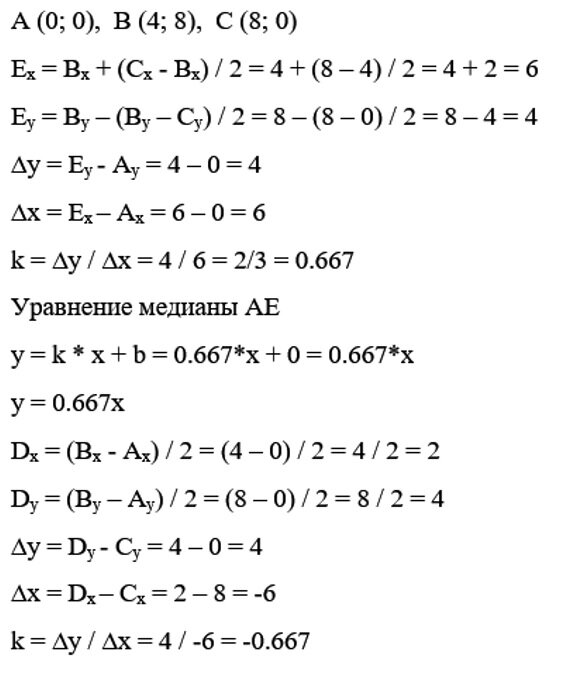
Рассмотрим еще один вариант расчета медиан в треугольнике.

'
'
Медианы в треугольнике
Медианы в треугольнике
'
'