Добавить в корзинуПозвонить
Найти в Дзене
СпецКурс

Как найти радиус окружности, описанной около треугольника, если известны две стороны и угол между ними

Если известны две стороны и угол между ними (например стороны a, b и ∠C) Нужен радиус описанной окружности. При таких входных данных следует начать с теоремы косинусов извлекём, шучу, извлечём квадратные корни из "права" и из "лева" (из справа от равно и из слева от равно), получаем Поскольку теперь нам известны три стороны (a, b и c) и сторона и противолежащий угол (c и ∠C), дальше два пути. Либо либо Всё просто!

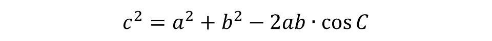
Если известны две стороны и угол между ними (например стороны a, b и ∠C)

Нужен радиус описанной окружности. При таких входных данных следует начать с теоремы косинусов

-2

извлекём, шучу, извлечём квадратные корни из "права" и из "лева" (из справа от равно и из слева от равно), получаем

-3

Поскольку теперь нам известны три стороны (a, b и c) и сторона и противолежащий угол (c и ∠C), дальше два пути. Либо

-4

либо

-5

Всё просто!