Добавить в корзинуПозвонить
Найти в Дзене
СпецКурс

Как найти радиус окружности, описанной около треугольника, если известны сторона и противолежащий угол

Если известны сторона и противолежащий угол (например сторона a и ∠A). Найдем радиус описанной окружности около треугольника. Из теоремы синусов выразим этот радиус: Всё просто!

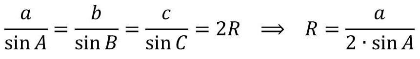
Если известны сторона и противолежащий угол (например сторона a и ∠A).

Найдем радиус описанной окружности около треугольника. Из теоремы синусов выразим этот радиус:

-2

Всё просто!