Добавить в корзинуПозвонить
Найти в Дзене
Serg SV

📙 Как сделать Лабораторный БП на LM317 с фиксированными уровнями НАПРЯЖЕНИЯ для новичков

Многие устройства с автономным питанием используют напряжения, кратные 1,5 В – это стандартное значение для одного гальванического элемента (батарейки). Однако в стационарных условиях гораздо выгоднее перейти на питание от сети, чтобы не расходовать батареи. Здесь на помощь приходит сетевой источник питания, позволяющий заменить элементы питания стабильным напряжением из розетки. Рассмотрим простую, надёжную и удобную схему на популярной микросхеме LM317, позволяющую получать фиксированные значения напряжения от 1,5В до 15В с шагом 1,5В. Устройство особенно полезно для питания радиоконструкторов, датчиков, измерительной и аудиотехники, а также для зарядки аккумуляторов. Загляните на мой Телеграмм КАНАЛ Азбука РадиоСхем На рисунке показана схема сетевой источник питания для аппаратуры: Трансформатор на схеме не показан, потому что это может быть практически любой силовой трансформатор с выходным переменным напряжением в пределах 15-20V. Даже можно использовать китайский трансформатор с
Оглавление

Надёжный регулируемый Источник Питания на LM317: от 1,5В до 15В

Многие устройства с автономным питанием используют напряжения, кратные 1,5 В – это стандартное значение для одного гальванического элемента (батарейки). Однако в стационарных условиях гораздо выгоднее перейти на питание от сети, чтобы не расходовать батареи. Здесь на помощь приходит сетевой источник питания, позволяющий заменить элементы питания стабильным напряжением из розетки.

Рассмотрим простую, надёжную и удобную схему на популярной микросхеме LM317, позволяющую получать фиксированные значения напряжения от 1,5В до 15В с шагом 1,5В. Устройство особенно полезно для питания радиоконструкторов, датчиков, измерительной и аудиотехники, а также для зарядки аккумуляторов.

Загляните на мой Телеграмм КАНАЛ Азбука РадиоСхем

Схема источник питания на LM317

На рисунке показана схема сетевой источник питания для аппаратуры:

Трансформатор на схеме не показан, потому что это может быть практически любой силовой трансформатор с выходным переменным напряжением в пределах 15-20V.

Даже можно использовать китайский трансформатор с двойной вторичной обмоткой 9-0-9V, используя крайние выводы, а средний отвод не подключая в схему.

🧩 Устройство и принцип действия

Схема состоит из трёх основных частей:

  1. Выпрямитель на диодах VD1–VD4 (1N4004) – Переменное напряжение 18V (от 15 до 20V) поступает на мостовой выпрямитель на диодах VD1-VD4. Выпрямитель преобразует переменное напряжение от трансформатора в постоянное.
  2. Фильтрующий конденсатор C1 – сглаживает пульсации.
  3. Регулируемый стабилизатор на LM317 – задаёт выходное напряжение.

При указанных на схеме величинах сопротивления резисторов R1-R14. На выходе схемы можно выбрать одно из десяти фиксированных напряжений:
1,5В, 3В, 4,5В, 6В, 7,5В, 9В, 10,5В, 12В, 13,5В и 15В.

Переключение значений осуществляется механическим переключателем S1, который подключает соответствующий резистор из набора R2–R14.

Высоковольтный Регулируемый источник ПИТАНИЯ от 0 до 300 вольт на IRF740

Как работает стабилизация

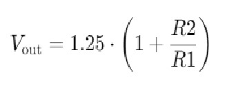
Микросхема LM317 регулирует выходное напряжение в зависимости от сопротивлений в цепи обратной связи:

-2

В этой схеме резистор R1 = 330 Ом остаётся постоянным, а R2 (R2-R14) выбирается переключателем. Именно этот подбор сопротивлений формирует нужное напряжение.

На выходе стоит конденсатор C2 на 100 мкФ – он фильтрует выход и обеспечивает устойчивую работу при изменении нагрузки. Диод VD5 защищает LM317 от обратного напряжения, которое может возникнуть при отключении питания.

SK120X 120 Вт DC Buck Boost Converter CNC DC Регулируемый источник питания 0,6-36 В 6 А— Цена вас приятно УДИВИТ

-3

Важные моменты

  • LM317 требует разницу между входным и выходным напряжением не менее 3В для стабильной работы.
  • Используйте радиатор для LM317, особенно при нагрузке более 200 мА.
  • Величины напряжений, указанные на схеме, могут немного отличаться из-за допуска резисторов. Если нужно точно — подбирайте резисторы вручную или ставьте подстроечные.

Факты и советы

  • LM317 был разработан в 1970-х и используется до сих пор из-за своей надёжности и простоты.
  • Благодаря встроенной тепловой защите и ограничению тока, LM317 прощает многие ошибки новичков.
  • Можно использовать прецизионные резисторы с допуском 1% для более точного напряжения.
  • Если требуется плавная регулировка – можно заменить переключатель переменным резистором.

Как сделать Стабилизатор тока на LM317 с плавной регулировкой

Заключение

Этот источник питания — отличное решение для лаборатории, мастерской или радиолюбительского уголка. Простота сборки, доступность компонентов и возможность точной настройки делают его незаменимым помощником при разработке и ремонте электроники.

-4