Найти в Дзене
PhDKot

Долетим ли к Проксиме Центавра

Оглавление

Рассчитаем массу ракеты, способной доставить 100 тонн полезной нагрузки к ближайшей звезде — Проксиме Центавра (расстояние ≈ 4.24 световых года) — при постоянном ускорении/торможении в 1g и с идеальным топливом, полностью превращающимся в энергию по формуле Эйнштейна.

Условия задачи

  • Полезная нагрузка: m =100 000 кг
  • Ускорение/замедление: a = 1g = 9.81 м/с²
  • Расстояние до цели: d = 4.24 св. года = 4.01×10¹⁶ м
  • Движение: половина пути разгон с ускорением a, вторая половина — торможение с ускорением a.
  • Преобразование массы в энергию: E = m
  • Идеальный реактивный двигатель (аннигиляция, КПД η = 100%)
  • Ракета работает как релятивистский ракетный двигатель.

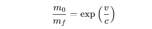
Релятивистская формула ракеты (Циолковского)

Уравнение Циолковского
Уравнение Циолковского

где:

  • m₀​: начальная масса ракеты,
  • mf: конечная масса (после выработки топлива),
  • v: конечная скорость,
  • c: скорость света.

Но в случае ускорения 1g на протяжении значительного времени мы можем выразить путь, пройденный ракетой при постоянном собственном ускорении (в собственной системе координат), используя релятивистские формулы:

Формулы движения при постоянном собственном ускорении

Полный путь (туда и торможение) — 2 этапа по пути d/2.

Для одного этапа (разгон):

-3

Решаем это уравнение относительно собственного времени τ, проведенного в разгонной фазе. Удвоив его, получим полное собственное время до цели, а из этого уже — релятивистскую скорость и, соответственно, массу ракеты.

Решим численно

  1. Найду собственное время разгона.
  2. Вычислю максимальную достигнутую скорость.
  3. Найду отношение начальной массы к массе полезной нагрузки с помощью релятивистского уравнения.

Характеристики полёта

(к Проксиме Центавра при ускорении 1g)

  • Полезная нагрузка: 100 тонн
  • Общая начальная масса ракеты: ≈ 667 850 кг
  • Максимальная скорость, достигнутая на середине пути: ≈ 0.95 с (94.9% от скорости света)
  • Собственное время экипажа до цели (в одну сторону): ≈ 1.77 года
  • Общее собственное время (туда и обратно): ≈ 3.54 года

Объяснение

  • Масса ракеты растёт экспоненциально от скорости: для 0.95 c это уже почти в 6.7 раза больше массы полезной нагрузки.
  • Мы учитывали только идеальное топливо, превращающееся полностью в энергию (аннигиляция, например, материя-антиматерия), и идеальный выхлоп — скорость истечения равна скорости света.
  • В случае «обычного» реактивного топлива (даже термоядерного), масса ракеты была бы астрономически больше.