Найти в Дзене
Войти
Лисёнок_Как решить?
847 подписчиков
Подписаться
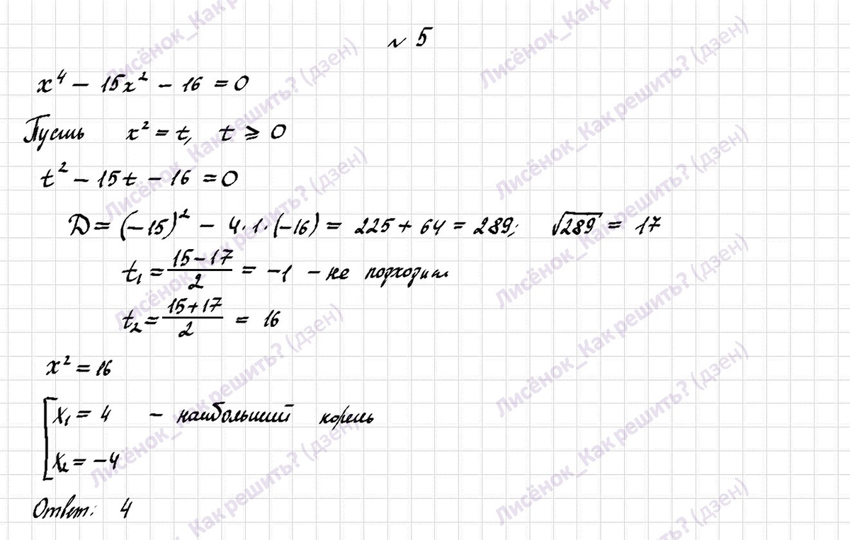
39 вариант экзаменационного сборника по математике 9 класса 2024/2025
11 апреля
11 апр
26