Найти в Дзене

Второе рождение второго закона Ньютона.

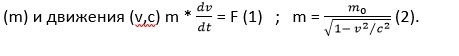
Выполняя обещанное в предыдущей статье объяснение «на пальцах» законов И. Ньютона (1-го и 2-го), хочу сразу же оговориться, что кажущееся вначале очень простым, на деле оказывается, наоборот, очень сложным, т.к. «на пальцах» означает – популярно. По жизни – популярно объяснить сложное удавалось сделать очень немногим. Здесь мне вспоминается телепрограмма С.П. Капицы: «Очевидное – Невероятное», а я себя таковым «умельцем» не считаю (это «Дар Божий». Но обещанное нужно выполнять! Для начала рассмотрим два известных выражения, где параметрами выступают понятия материи Выражение (1) – это 2-й закон Ньютона, а выражение (2) – теоретическое, полученное Лоренцем и экспериментально подтверждённое. Казалось бы, очень просто получить выражение (1) путём дифференцирования (2) по времени. Но (опуская «скучную» математику) мы получим Всё вроде бы хорошо, т.к. правая часть выражения (3) по размерности – это сила, но смущает отношение Первое, что пришло мне на ум – это подставить вместо (v) - (c), х
Второе рождение второго закона Ньютона
Второе рождение второго закона Ньютона

Выполняя обещанное в предыдущей статье объяснение «на пальцах» законов И. Ньютона (1-го и 2-го), хочу сразу же оговориться, что кажущееся вначале очень простым, на деле оказывается, наоборот, очень сложным, т.к. «на пальцах» означает – популярно. По жизни – популярно объяснить сложное удавалось сделать очень немногим. Здесь мне вспоминается телепрограмма С.П. Капицы: «Очевидное – Невероятное», а я себя таковым «умельцем» не считаю (это «Дар Божий». Но обещанное нужно выполнять!

Для начала рассмотрим два известных выражения, где параметрами выступают понятия материи

-2

Выражение (1) – это 2-й закон Ньютона, а выражение (2) – теоретическое, полученное Лоренцем и экспериментально подтверждённое. Казалось бы, очень просто получить выражение (1) путём дифференцирования (2) по времени. Но (опуская «скучную» математику) мы получим

-3

Всё вроде бы хорошо, т.к. правая часть выражения (3) по размерности – это сила, но смущает отношение

-4

Первое, что пришло мне на ум – это подставить вместо (v) - (c), хотя это категорически делать нельзя при исходном условии (v<<c). Но это «нельзя» было когда-то (в прошлом веке, когда мы ничего не знали о «вихревых» свойствах ЭП, да и никакого ЭП не было и в помине). Но, сделав это, мы получим:

-5

А это 2-й закон Ньютона для реактивной силы некоего «фотонного» двигателя. Сейчас даже школьнику известно, что электроны в атоме переходят с орбиты на другую орбиту, излучая или поглощая фотон, а это «рабочие будни» фотонного двигателя.

Теперь нам придётся «перейти вброд» речку «алгебру» и войти в «лес» геометрии. Как можно представить линейную (поступательную) скорость (v) через «вихревую» скорость (c), т.е. окружную? Проще всего это можно сделать так (из предположения, что скорость света является предельно-возможной, хотя мы с Вами уже знаем, что это ограничение только для дырок-разрывов ЭП, т.е. для (m) и (dm). См. рис -1-.

рис. 1
рис. 1

Так, предположив, что

-7

(это вполне естественно в рамках квантовой механики), то получим:

-8

Теперь нас должно смущать только (π) в знаменателе. Но этот «порок» не страшен, т.к. (c) – это линейная скорость света, а в представленной «вихревой» картинке окружная скорость может быть и, например,

-9

что тоже вполне естественно. Тогда, заменяя в (5) (с) на (πc), получим (после сокращения на π):

-10

, что полностью совпадает с (4), где (v) и (c) – это линейные скорости.

Теперь мы можем попробовать представить себе вариант, когда (v = c). См. рис. 2.

рис. 2
рис. 2
-12

Обратите внимание, что движение дырок происходит с угловой скоростью

-13

путём качения по неподвижному ЭП (т.е. с одной неподвижной точкой). Вот именно сейчас нам стоит вернуться к моей статье №2 «Чёрные дыры» к тому месту, где рассматривается вероятность «лобового» столкновения в центре ЧД. Но теперь ясно, что «лобового» столкновения, вообще не должно быть, т.к. они в этот момент абсолютно неподвижны! Тогда возникает другая проблема, при каких условиях чёрная дыра переходит в «сверхновую» звезду? Но этот вопрос подробно смогут разобрать только наши внуки, когда моя теория (гипотеза) будет признана. Но, скорее всего, что из-за огромной плотности встречного потока суммарного

-14

сквозь центр будет нарушено: либо

-15

либо начнутся лобовые столкновения дырок-разрывов в фазе Комптоновских радиусов со скоростью (πс) и с почти нулевым «миделевым» сечением. Это «почти» и является ключевым в данном случае. По идее «взрыв» всех

-16

при этом происходит примерно так же (и с таким же составом ЭЧ (элементарных частиц), как и в рассмотренном подробно происхождении космических лучей (на сайте newnewton.ru) только в гигантских масштабах.

Так «худо-бедно» мы разобрались со 2-м законом Ньютона. Осталось разобраться с 1-м. Здесь нам придётся вспомнить об опытных законах сохранения (энергии, количества движения, момента количества движения). Они совершенно естественны для конечной Вселенной, т.к. их просто некому (и некуда) передать. Снаружи – «Ничто» и это, кстати, спасает Вселенную от «холодной» смерти. А эти 3 вида сохранения «работают» на то, чтобы сохранялись и их формы (потенциальной, кинетической или в их сумме). Отсюда «растут ноги» и 1-го закона Ньютона. Т.е. сохраняется даже просто скорость равномерного прямолинейного движения, если не действует никакая сила. Прямолинейность сюда включена потому, что при непрямолинейном движении возникает центробежная сила. Глубже вникать в причину всего этого – бессмысленно, т.к. это дано нам Природой изначально на самом фундаментальном уровне. Так мы получаем и 1-й и 2-й законы Ньютона не только как опытные, но и как теоретические (научные).

Я не очень доволен этой статьёй, т.к. получилось не совсем на «пальцах». Но, если Вы готовы всё это воспринимать в таком виде, то в следующей статье я попробую «доконать» всю современную фундаментальную физику тем, что «отменю» все фундаментальные виды взаимодействий. Останется только гравитация и «Вихревое свойство». Всё остальное – производное от этих двух!