Найти в Дзене
Афанасий-бизнес

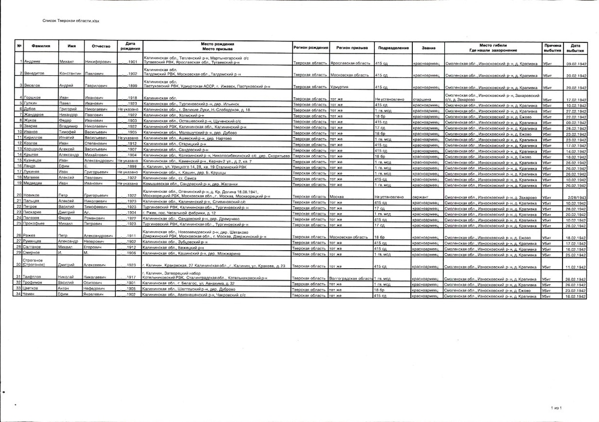
В Тверской области ищут родственников бойцов, погибших в Захаровской операции

Захаровская операция, являвшаяся частью битвы под Москвой, стала одним из самых трагических эпизодов Великой Отечественной войны. В жестоких боях погибли тысячи советских солдат. Останки бойцов до сих пор поисковики ищут, находят и поднимают.
В прошлом году силами поискового объединением «ВПК Прорыв» в Износковском районе Калужской области (до 1944 года это была территория Смоленской области) были обнаружены и подняты останки 1 250 солдат и командиров Красной Армии. Из них 34 красноармейца – уроженцы Калинина (Твери), Старицкого, Кашинского, Калязинского, Сандовского, Оленинского, Бежецкого, Зубцовского и других районов Тверской области. На сайте Правительства Тверской области есть полный список бойцов, родственники которых, возможно, до сих пор ищут их среди тех, кто так еще пока и не вернулся с войны.
Перезахоронение останков советских воинов запланировано на 5 мая 2025 года на воинском мемориале «Ивановское поле» в Калужской области.

Захаровская операция, являвшаяся частью битвы под Москвой, стала одним из самых трагических эпизодов Великой Отечественной войны. В жестоких боях погибли тысячи советских солдат. Останки бойцов до сих пор поисковики ищут, находят и поднимают.

В прошлом году силами поискового объединением «ВПК Прорыв» в Износковском районе Калужской области (до 1944 года это была территория Смоленской области) были обнаружены и подняты останки 1 250 солдат и командиров Красной Армии. Из них 34 красноармейца – уроженцы Калинина (Твери), Старицкого, Кашинского, Калязинского, Сандовского, Оленинского, Бежецкого, Зубцовского и других районов Тверской области. На сайте Правительства Тверской области есть полный список бойцов, родственники которых, возможно, до сих пор ищут их среди тех, кто так еще пока и не вернулся с войны.

Перезахоронение останков советских воинов запланировано на 5 мая 2025 года на воинском мемориале «Ивановское поле» в Калужской области.

 📷
📷