Добавить в корзину
Позвонить
Найти в Дзене
Войти
СпецКурс
476 подписчиков
Подписаться
А8 ДЗ Решение систем уравнений - 1 (Евст)
7 апреля 2025
7 апр 2025
87
~1 мин
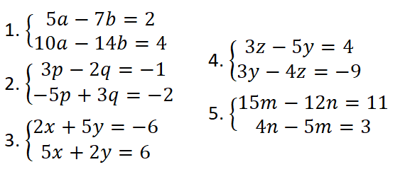
Решите системы уравнений:
Решите системы уравнений:
...
Читать далее
Решите системы уравнений:
4
3077637118.1341.1777405400837.38220