Найти в Дзене

Уравнения

Алгоритм решения линейного уравнения:

1.Приведение уравнения к стандартному виду ах + в=0

2.Избавление от свободных членов ах =-b

3.Изоляция переменной х =-b/а

4.Проверка решения

Алгоритм решения квадратного уравнения:

1. Формула дискриминанта

- Вычислите D = b² - 4ac.

- Если D > 0, уравнение имеет два различных корня:

x₁ = (-b + √D) / (2a), x₂ = (-b - √D) / (2a).

- Если D = 0, у уравнения один корень: x = -b / (2a).

- Если D < 0, корней нет (комплексные).

2. Сложение полного квадрата

- Приведите квадратное уравнение к форме (x + p)² = q и найдите корни.

3. Графический метод

- Постройте график функции y = ax² + bx + c. Пересечения с осью x – это корни уравнения.

Алгоритм решения показательного уравнения:

1. Перепишите уравнение. Убедитесь, что обе части уравнения выражены через одну и ту же базу, если это возможно. Например, если a и b можно выразить через одно основание.

2. Если базу привести к одному значению не удается, используйте логарифмы: x = logа(b), где logа — логарифм с основанием a. Можно использовать общий логарифм: x = log(b) / log(a).

3. Изолирование переменной. Если у вас есть уравнение вида aх= f(x), где f(x) — не-экспоненциальная функция, вам может потребоваться сначала изолировать aх.

4. Проверка корней. Всегда проверяйте корни, подставляя их обратно в исходное уравнение.

Алгоритм решения иррационального уравнения:

1.Изолируйте иррациональную часть. Перенесите все термины, не относящиеся к корню, на одну сторону. √x=а

2.Возведите обе стороны в степень. Если вы изолировали корень, возведите обе стороны уравнения в квадрат. Это устраняет знак корня: (√x)2=а2

3.Решите полученное уравнение. Приведите уравнение к стандартному виду: x=a2

4.Проверка корней. Обязательно подставьте полученное значение обратно в исходное уравнение, чтобы проверить, не возникли ли ложные корни.

5.Рассмотрите ограничения. Проверяйте, что корень не превышает ограничений для переменной, чтобы избежать несовместимых значений.

Алгоритм решения биквадратного уравнения:

1.Запишите уравнение в стандартной форме. Убедитесь, что уравнение имеет вид ax^4+bx^2+c=0

2.Подстановка. Введите новую переменную: y=x^2. Тогда ваше уравнение преобразуется в квадратное ay^2+by+c=0

3.Далее решайте по алгоритму решения квадратного уравнения.

Алгоритм решения логарифмического уравнения:

1.Перепишите уравнение. Убедитесь, что уравнение имеет вид log a x=b

2.Преобразуйте в экспоненциальную форму. Преобразуйте логарифмическое уравнение в экспоненциальное x=a^b

3.Решите полученное уравнение.

4.Проверка условий. Убедитесь, что аргумент логарифма x больше нуля, так как логарифм отрицательных чисел и нуля не определен.

5.Проверьте результаты.Подставьте найденные значения x обратно в исходное логарифмическое уравнение и убедитесь, что равенство верно.

Алгоритм решения уравнения с параметром:

1.Запишите уравнение. 2.Определите уравнение, включающее параметр.

3.Выразите параметр. Если возможно, выразите параметр через другие переменные или задайте его значение.

4.Решите уравнение. Попробуйте решить уравнение для переменной, принимая параметр как фиксированное значение. Это может быть сделано через алгебраические методы.

5.Анализируйте результаты. Посмотрите, как меняются решения при различных значениях параметра. Может быть несколько случаев на основе значений параметра.

6.Построение графиков. Если предусмотрено, постройте графики для зависимости переменной от параметра, чтобы визуально оценить поведение решений.

7.Подведение итогов. Сделайте выводы о зависимости решений от параметра и отметьте, для каких значений параметра решения существуют.

Алгоритм решения уравнения высшей степени:

1.Факторизация. Попробуйте разложить многочлен на множители. Это возможно, если удастся найти корни. Например, для уравнения x^4-5x^2+4=0 можно ввести новую переменную y=x^2 и упростить.

2.Действия с корнями. Если уравнение имеет один корень, используйте деление многочленов для нахождения оставшегося квадратного уравнения.

3.Метод выделения полного квадрата. Иногда можно привести уравнение к форме (x^2+px+q)^2=r.

4.Теорема Безу и Равенства для многочленов. Используйте теоремы о корнях для поиска потенциальных корней.

5.Численные методы. Для сложности уравнений применяйте численные методы (например, метод Ньютона) для нахождения приближенных корней.

6.Графический метод. Постройте график функции, чтобы визуально определить значения x, при которых уравнение равняется нулю.

Алгоритм решения тригонометрического уравнения:

1.Приведение к стандартному виду: Преобразуйте уравнение так, чтобы одна из тригонометрических функций была равна другой.

2.Используйте тригонометрические тождества.

3.Картезианский подход: Если уравнение имеет форму sin⁡x=k, используйте обратные значения для нахождения углов.

4.Учет периода функций: Тригонометрические функции имеют определенные периоды. Найдите все решения в пределах одного полного периода и добавьте 2πn , где n - целое число.

5.Проверка корней: Подставьте найденные корни обратно в исходное уравнение, чтобы убедиться, что они верны.

6.Ограничения: Убедитесь, что соблюдены все ограничения, заданные в уравнении.

Алгоритм решения дробно-рационального уравнения:

1.Определите область определения: Найдите значения переменной, при которых дроби определены (не равны нулю в знаменателе).

2.Умножьте на общий знаменатель: Умножьте обе стороны уравнения на общий знаменатель, чтобы устранить дроби. Это упростит уравнение.

3.Приведите к стандартному виду: Преобразуйте уравнение в вид, который можно решить (обычно это линейное или квадратное уравнение).

4.Решите полученное уравнение: Найдите корни уравнения любым удобным способом (например, факторизация, квадратная формула).

5.Проверка корней: Подставьте найденные значения обратно в исходное уравнение и убедитесь, что они не делают знаменатель равным нулю.

6.Решение и интерпретация: Запишите окончательные ответы, учитывая область определения.

Алгоритм решения уравнения с модулем:

1.Понимание модуля: Модуль числа обозначает его абсолютное значение. Например, |x|=x, если x≥0 , и |x|=-x, если x<0 .

2.Разделение на случаи: Из-за определения модуля нужно рассмотреть несколько случаев:

- Для |A|=B, где B≥0 , уравнения A=B и A=-B .

- Если B<0 , то уравнение |A|=B не имеет решений.

3.Решение полученных уравнений: Решите каждое из полученных уравнений отдельно для каждого случая.

4.Проверка решений: Подставьте найденные значения в исходное уравнение, чтобы убедиться, что они удовлетворяют всем условиям.

5.Запись окончательного ответа: Убедитесь, что учли все случаи и включите все решения.

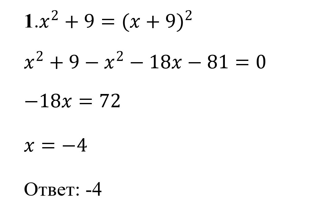
Разберём на примере нескольких уравнений из ЕГЭ по профильный:

-2
-3
-4
-5
-6
-7

Также разберём один метод решения системы линейных уравнений, с помощью обратной матрицы.

Система уравнений, которую будем решать.
Система уравнений, которую будем решать.
-9