Найти в Дзене
Нестандарт

Решение задач по математике №1

Думаю, что первую задачу надо взять не совсем сложную, чтобы немного "втянуться" в интересный и необъятный мир математических задач. Итак, задача выглядит следующим образом: Упростить выражение Сразу можно сделать наблюдение, что Очень похоже на Только мешает 2 степень переменной. Так что же делать? Например можно сделать дополнительную операцию - возведем (2) в квадрат, и получится: Но при умножении числа (x) на обратное ему (1/x) x сокращается и остается просто 2, тогда: Для удобства заменим (2) на t, получится: Тогда исходное выражение примет вид Возведем в квадрат и упростим Можно увидеть формулу сокращенного умножения (ФСУ) - квадрат суммы Так как t^2 всегда положительное число, а к нему прибавляем 3, то под знаком модуля у нас будет положительное значение при всех t, что дает нам возможность раскрыть модуль без ограничений. При обратной замене получим: Задача решена. В данной задаче Вы могли наблюдать способ замены переменной при помощи дополнительных операций, который часто

Думаю, что первую задачу надо взять не совсем сложную, чтобы немного "втянуться" в интересный и необъятный мир математических задач.

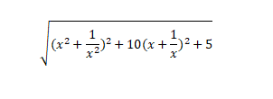
Итак, задача выглядит следующим образом:

Упростить выражение

Сразу можно сделать наблюдение, что

(1)
(1)

Очень похоже на

(2)
(2)

Только мешает 2 степень переменной. Так что же делать? Например можно сделать дополнительную операцию - возведем (2) в квадрат, и получится:

-4

Но при умножении числа (x) на обратное ему (1/x) x сокращается и остается просто 2, тогда:

-5

Для удобства заменим (2) на t, получится:

-6
-7

Тогда исходное выражение примет вид

-8

Возведем в квадрат и упростим

-9

Можно увидеть формулу сокращенного умножения (ФСУ) - квадрат суммы

-10

Так как t^2 всегда положительное число, а к нему прибавляем 3, то под знаком модуля у нас будет положительное значение при всех t, что дает нам возможность раскрыть модуль без ограничений.

При обратной замене получим:

-11

Задача решена.

В данной задаче Вы могли наблюдать способ замены переменной при помощи дополнительных операций, который часто встречается в задачах программы 10 и 11 классов.

Спасибо за внимание!