Добавить в корзинуПозвонить
Найти в Дзене

Чем заменить ANSYS? На примере задачи «Моделирование нестационарного теплового состояния турбины»

Культура производства начинает улучшаться, и все больше предприятий задумывается о сокращении издержек на производство. Хорошим инструментом для решения этой задачи выступает Computer-aided engineering (CAE). CAE – это процесс применения компьютерных технологий для создания и оценки инженерных моделей и систем. Он включает в себя использование программного обеспечения для симуляции и анализа различных физических явлений – таких как тепло-, массо-, флюидодинамика, акустика, электромагнетизм и другие. На сегодняшний день эталонным CAE в описанной области считается ПО Ansys. Оно обладает аналитической мощностью, имеет широкий выбор солверов, гибкую и модульную конструкции, стандартизированные библиотеки материалов и элементов, широкий выбор форматов выходных данных. Главным недостатком пользователи называют стоимость программного решения. И ближайшим аналогом Ansys в сфере прочностного анализа и смежных задач выступает CAE Fidesys. Fidesys – это российский продукт, в котором можно проводи
Оглавление

Культура производства начинает улучшаться, и все больше предприятий задумывается о сокращении издержек на производство. Хорошим инструментом для решения этой задачи выступает Computer-aided engineering (CAE).

CAE – это процесс применения компьютерных технологий для создания и оценки инженерных моделей и систем. Он включает в себя использование программного обеспечения для симуляции и анализа различных физических явлений – таких как тепло-, массо-, флюидодинамика, акустика, электромагнетизм и другие.

На сегодняшний день эталонным CAE в описанной области считается ПО Ansys. Оно обладает аналитической мощностью, имеет широкий выбор солверов, гибкую и модульную конструкции, стандартизированные библиотеки материалов и элементов, широкий выбор форматов выходных данных. Главным недостатком пользователи называют стоимость программного решения. И ближайшим аналогом Ansys в сфере прочностного анализа и смежных задач выступает CAE Fidesys.

Fidesys – это российский продукт, в котором можно проводить различные типы анализов, включая статический, динамический, термический, акустический и электромагнитный. Удобный интерфейс, использование метода конечных элементов, невысокая стоимость и наличие целого пакета солверов.

Мы решили протестировать программное обеспечение на примере задачи «Моделирование нестационарного теплового состояния турбины», сравнив результаты расчетов в Fidesys с расчетами той же задачи в Ansys.

Описание задачи

Задача относится к ряду термомеханических. Термомеханический расчет в программной среде CAE обычно производится путем решения системы дифференциальных уравнений, которые описывают механическое поведение объекта в условиях заданных термических нагрузок. Вот некоторые из основных уравнений, используемых в термомеханических расчетах:

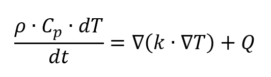
1. Уравнение теплопроводности. Описывает распространение тепла в объекте и может быть записано в следующем виде:

где ρ - плотность материала, C_p - теплоемкость материала, T - температура, t - время, k - коэффициент теплопроводности, ∇ - оператор градиента, Q - источник тепла.
где ρ - плотность материала, C_p - теплоемкость материала, T - температура, t - время, k - коэффициент теплопроводности, ∇ - оператор градиента, Q - источник тепла.

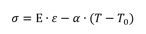
2. Уравнение механики. Описывает механическое поведение объекта и может быть записано в следующем виде:

где σ - напряжение, E - модуль Юнга, ε - деформация, α - коэффициент теплового расширения, T - температура, T_0 - опорная температура.
где σ - напряжение, E - модуль Юнга, ε - деформация, α - коэффициент теплового расширения, T - температура, T_0 - опорная температура.

3. Уравнение состояния. Связывает термические и механические свойства материала и может быть записано в следующем виде:

где ρ - плотность, c - теплоемкость, β - коэффициент объемного расширения с температурой.
где ρ - плотность, c - теплоемкость, β - коэффициент объемного расширения с температурой.

Одним из важнейших аспектов термомеханических расчетов в CAE является выбор подходящего солвера, который способен эффективно решать системы уравнений в зависимости от условий и требований конкретной задачи.

Особенностью нашей задачи является использование неявного метода решения, который позволяет получить более точные результаты за более короткий промежуток времени. Расчет проводится на основе разностной схемы для платформы сеточно-характеристического метода с использованием метода скоростного спуска. Для проведения расчета нам потребовались математические модели, которые описывают теплообмен, термическую деформацию и напряжения с учетом турбулентности потока. Неструктурированная криволинейная сетка строится независимо для каждой детали сборки.

Решение задачи

Шаг 1: импорт модели и определение граничных условий.

Импортируются модели геометрии в Fidesys и задаются граничные условия – температурные и механические нагрузки.

Шаг 2: разбиение тела на конечные элементы.

Fidesys использует сеточно-характеристический метод для разбиения геометрической модели на конечные элементы. Это метод конечных элементов (МКЭ), основанный на генерации разноразмерных тетраэдрических и шестиугольных элементов вдоль характеристик сетки. Он является частным случаем многомерной адаптивной процедуры и позволяет быстро и эффективно генерировать качественную сетку для сложных геометрических объектов.

Алгоритм разбиения на конечные элементы в Fidesys следующий:

  1. Разложение геометрии объекта на простые формы – тетраэдры, призмы или гексаэдры (зависит от выбранной опции).
  2. Каждая форма разбивается на конечные элементы, сгенерированные вдоль характеристик сетки.
  3. Разложение конечных элементов на локальные базисные функции.
  4. Формулирование уравнения, описывающее поведение материала на каждом элементе.
  5. Сборка матриц жесткости и векторов сил.
  6. Решение собранных уравнений методом конечных элементов с помощью итерационных методов.
  7. Проверка решения на приемлемость. Если решение не подходит, то модель правится или итерационный процесс повторяется.

Шаг 3: определение начальных условий.

Определяются начальные условия на каждом элементе, такие как температура и напряженные состояния.

В качестве начальных условий задана температура в 825℃.
В качестве начальных условий задана температура в 825℃.

Шаг 4: задание материалов и свойств.

Задаются геометрические и физические свойства материалов – коэффициенты теплопроводности, модули упругости и пластичности, коэффициент расширения и т.д.

Свойства заданного материала, приименные ко всей модели.
Свойства заданного материала, приименные ко всей модели.

Шаг 5: расчет термических и механических характеристик.

Выполняется расчет термического и механического состояния турбины с использованием неявного метода решения. На каждом шаге расчета решается система дифференциальных уравнений, которые описывают процессы теплопередачи, термических деформаций и напряжений.

Шаг 6: визуализация результатов.

Полученные результаты анализируются с помощью визуализации физических параметров – температуры, деформации и напряжения. Полученные результаты могут быть представлены в виде графиков, диаграмм, изображений и т. д.

Таким образом, за 6 шагов мы провели численное моделирование нестационарного теплообмена в турбине, основанное на неявном методе. Моделирование показало температурные поля и тепловые напряжения, возникающие в турбине при соответствующих нагрузках. Эти параметры важны для проектирования и эксплуатации будущего изделия, ведь благодаря полученным данным можно оптимизировать работу оборудования и улучшить его качество.

Сравнение результатов

При проведении подтверждающего анализа в Ansys задавались все те же параметры, что и в Fidesys, кроме статуса контакта. В Ansys для упрощения вычислительных алгоритмов на этом этапе мы разбили элементы, чтобы исключить их самопересечение.

Соответствующий расчет в Ansys у нас занял 15 минут. В Fidesys задача посчиталась в 1,5 раза быстрее – за 10 минут.

Точность сетки была одинакова в обоих программных продуктах, однако, на местах скругления Fidesys показывает худшее качество построения сетки.

Сходимость результатов в Ansys оказалась приближеннее к исходному эксперименту.

Вывод

Fidesys – молодой продукт на рынке и пока не отвечает всему разнообразию функционала Ansys. Однако, разработчики программного обеспечения Fidesys за последние 2 года двигаются с геометрической прогрессией, поэтому обратить внимание на решение однозначно стоит! Лицензии Fidesys на порядок дешевле зарубежного аналога, а результаты моделирования в точности не уступают Ansys.