Добавить в корзинуПозвонить
Найти в Дзене
ЕГЭ 2024

ЕГЭ 2024. Ященко, профльный уровень. Вариант 4, Задание 15 - Решение задания с логарифом.

Решим неравенство: 1. Определим область допустимых значений. Так как основание логарифма не может быть меньше нуля, равняться ему или единице, а логарифмируемое число не может быть меньше нуля, то: 2. Упростим логарифмы, стоящие в неравенстве: 3. Теперь объединим полученный интервал с ОДЗ. Так как 11/5 и 12/5 попадают в него, то эти точки необходимо из этого интервала удалить. Получится: Ответ верный. Остались вопросы? Задайте их в комментариях! Я обязательно на них отвечу.

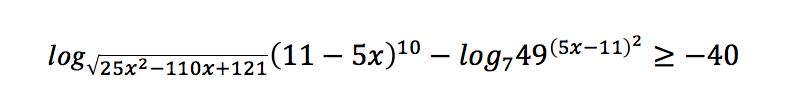
Решим неравенство:

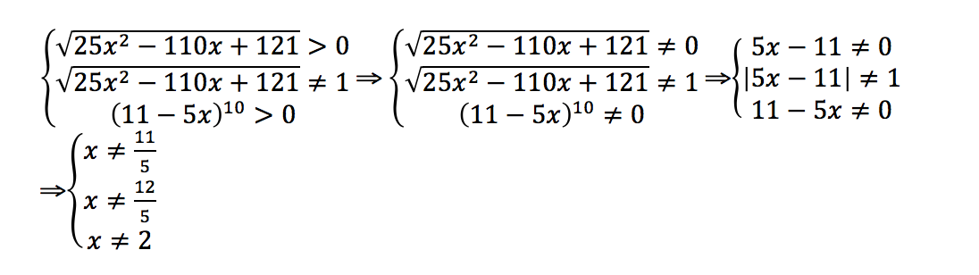
1. Определим область допустимых значений. Так как основание логарифма не может быть меньше нуля, равняться ему или единице, а логарифмируемое число не может быть меньше нуля, то:

-2

2. Упростим логарифмы, стоящие в неравенстве:

-3

3. Теперь объединим полученный интервал с ОДЗ. Так как 11/5 и 12/5 попадают в него, то эти точки необходимо из этого интервала удалить. Получится:

-4

Ответ верный.

Остались вопросы? Задайте их в комментариях! Я обязательно на них отвечу.