Добавить в корзинуПозвонить
Найти в Дзене
Naked Science

Безалкогольное пиво назвали потенциальным источником патогенов

Отсутствие спирта в безалкогольном или слабоалкогольном пиве может делать такие сорта более уязвимыми для бактерий и других факторов порчи в процессе производства, хранения и розлива. Это экспериментально подтвердили американские ученые. Традиционное пиво, крепость которого обычно составляет 3,5-5%, но может доходить до 10%, имеет низкий уровень pH, содержит этанол, горькие кислоты хмеля, большое количество растворенного углекислого газа и мало кислорода. Все это способствует микробиологической стабильности напитка. Плюс сам классический процесс изготовления пива, включающий такие этапы, как затирание, кипячение сусла, пастеризация, стерильная фильтрация и хранение в холоде, обеспечивает дополнительную защиту от пищевых патогенов. Однако при изготовлении так называемого крафтового слабо- или безалкогольного пива производители нередко изменяют традиционные процессы. Кроме того, для улучшения вкуса и аромата напитка в него на этапах ферментации и кондиционирования могут добавлять разные
   © Global Look Press
© Global Look Press

Отсутствие спирта в безалкогольном или слабоалкогольном пиве может делать такие сорта более уязвимыми для бактерий и других факторов порчи в процессе производства, хранения и розлива. Это экспериментально подтвердили американские ученые.

Традиционное пиво, крепость которого обычно составляет 3,5-5%, но может доходить до 10%, имеет низкий уровень pH, содержит этанол, горькие кислоты хмеля, большое количество растворенного углекислого газа и мало кислорода. Все это способствует микробиологической стабильности напитка. Плюс сам классический процесс изготовления пива, включающий такие этапы, как затирание, кипячение сусла, пастеризация, стерильная фильтрация и хранение в холоде, обеспечивает дополнительную защиту от пищевых патогенов.

Однако при изготовлении так называемого крафтового слабо- или безалкогольного пива производители нередко изменяют традиционные процессы. Кроме того, для улучшения вкуса и аромата напитка в него на этапах ферментации и кондиционирования могут добавлять разные ингредиенты, в том числе нестерильный хмель. Это повышает риск попадания в такое пиво патогенных микроорганизмов.

Специалисты Корнеллского университета (США) решили разобраться, как влияют уровень pH, температуры хранения и концентрации этанола на рост или гибель пищевых патогенов в слабоалкогольном и безалкогольном пиве. Их исследование опубликовал Journal of Food Protection.

Для эксперимента исследователи закупили у пивоваренной компании Genesse Brewery (Рочестер, Нью-Йорк) охмеленное пиво в банках. Изначально его крепость составляла менее 0,5%, а pH — 3,65. Затем из пива изготовили образцы с разным уровнем pH: 4,20, 4,60 и 4,80. Концентрация этанола сохранялась либо на прежнем уровне, либо увеличивалась с помощью добавления спирта до 3,20%

Ученые добавили в образцы три пищевых патогена: бактерии кишечной палочки (E. coli O157:H7), Salmonella enterica и Listeria monocytogenes. После этого пиво хранили на протяжении 63 дней при температурах 4 и 14 °C.

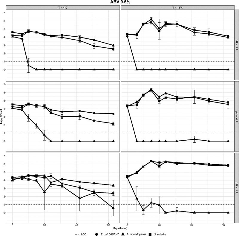
   Выживаемость патогенов в образцах пива с концентрацией алкоголя 0,5% / © Mario Çobo et al.
Выживаемость патогенов в образцах пива с концентрацией алкоголя 0,5% / © Mario Çobo et al.

В результате выяснилось, что в безалкогольном пиве патогенные микроорганизмы выжили и размножились. В образцах с добавленными бактериями E. coli O157:H7 и S. enterica их количество удвоилось после хранения при 14 °C, однако при температуре 4 °C роста не наблюдалось. Бактерии L. monocytogenes оказались более чувствительными: их концентрация быстро снизилась, и впоследствии патоген ни в одном из протестированных образцов не обнаружили.

Эксперимент показал, что температура хранения имеет решающее значение для предотвращения роста патогенов. Марио Чобо (Mario Çobo), один из авторов работы, также отметил, что образцы пива с уровнем pH, превышающим 4,60, малой концентрацией алкоголя или без него и низким содержанием углекислого газа были более подвержены порче.

   Выживаемость патогенов в образцах пива с концентрацией алкоголя 3,20% / © Mario Çobo et al.
Выживаемость патогенов в образцах пива с концентрацией алкоголя 3,20% / © Mario Çobo et al.

С учетом патогенных рисков ученые рекомендовали ведомствам, регулирующим пищевую промышленность, оценить рецептуру таких безалкогольных напитков и внимательнее проверять их на безопасность.

«Слабоалкогольные и безалкогольные сорта пива должны пастеризоваться для достижения промышленной стерильности. В качестве дополнительных мер по снижению микробного риска следует рассмотреть возможность стерильной фильтрации и добавления консервантов», — заключили исследователи.