Добавить в корзину
Позвонить
Найти в Дзене
Войти
СпецКурс
480 подписчиков
Подписаться
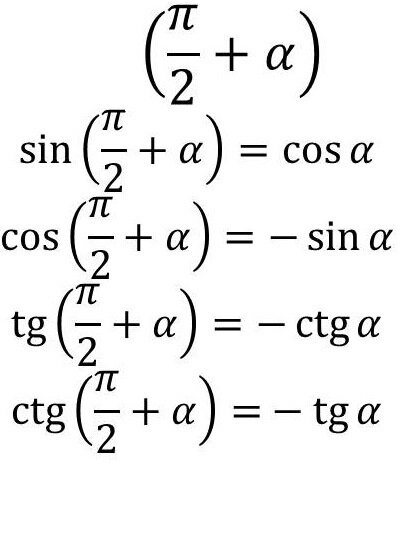
Формулы приведения в тригонометрии
7 декабря 2023
7 дек 2023
35
...
Читать далее
2
3227599095.826.1779928312250.34602