Добавить в корзинуПозвонить
Найти в Дзене

Энтальпия нефтепродуктов

Энтальпия жидкого нефтепродукта Под удельной энтальпией жидких нефтепродуктов при температуре Т понимают то количество тепла, которое необходимо затратить на нагрев 1 кг жидкости от начальной температуры в 273 К до целевой температуры: Подставив в эту формулу значение теплоемкости, получим: При составлении тепловых балансов часто приходится подсчитывать количество тепла, затраченного на нагрев жидкого нефтепродукта от температуры T1 до температуры Т2. При этом можно пользоваться формулой: Энтальпия паровой фазы нефтепродукта Величина энтальпии нефтепродукта в паровой фазе складывается из количества тепла, расходуемого на нагрев жидкого нефтепродукта от начальной температуры в 273 К до температуры кипения, на его испарение и на перегрев паров от температуры кипения до заданной температуры Т. Таким образом: или Для определения энтальпии нефтяных паров широко пользуются эмпирической формулой Б. П. Воинова: В термодинамике считается, что давление не влияет на энтальпию идеальных газов. Энт
Оглавление

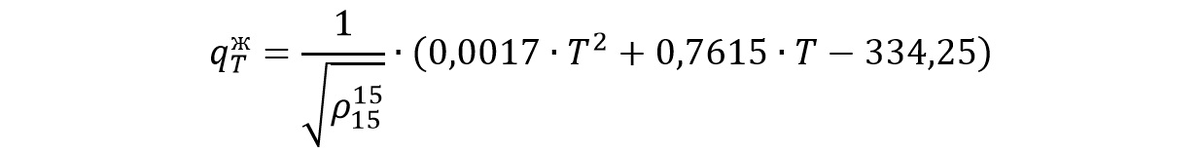
Энтальпия жидкого нефтепродукта

Под удельной энтальпией жидких нефтепродуктов при температуре Т понимают то количество тепла, которое необходимо затратить на нагрев 1 кг жидкости от начальной температуры в 273 К до целевой температуры:

Подставив в эту формулу значение теплоемкости, получим:

-2

При составлении тепловых балансов часто приходится подсчитывать количество тепла, затраченного на нагрев жидкого нефтепродукта от температуры T1 до температуры Т2.

При этом можно пользоваться формулой:

-3

Энтальпия паровой фазы нефтепродукта

Величина энтальпии нефтепродукта в паровой фазе складывается из количества тепла, расходуемого на нагрев жидкого нефтепродукта от начальной температуры в 273 К до температуры кипения, на его испарение и на перегрев паров от температуры кипения до заданной температуры Т.

Таким образом:

-4

или

-5

Для определения энтальпии нефтяных паров широко пользуются эмпирической формулой Б. П. Воинова:

-6

В термодинамике считается, что давление не влияет на энтальпию идеальных газов. Энтальпия паров нефтепродуктов с повышением давления понижается. Для определения энтальпии нефтепродуктов при повышенных давлениях сначала находят их энтальпию при атмосферном давлении и из полученной величины вычитают поправку на повышенное давление:

-7

Поправку ∆q можно вычислить из уравнения:

-8

На основе этого уравнения строят график для расчета поправки к энтальпии.

Зависимость поправки к энтальпии от приведенных температуры и давления
Зависимость поправки к энтальпии от приведенных температуры и давления

Номограммы для определения энтальпии нефтепродуктов

Энтальпия жидких нефтепродуктов в зависимости от температуры и давления
Энтальпия жидких нефтепродуктов в зависимости от температуры и давления
Энтальпия жидких нефтепродуктов в зависимости от молекулярной массы и вязкости
Энтальпия жидких нефтепродуктов в зависимости от молекулярной массы и вязкости
Энтальпия углеводородов в зависимости от температуры и давления
Энтальпия углеводородов в зависимости от температуры и давления

Если статья была вам интересной и полезной, ставьте лайк, а если хотите ежедневно получать новые статьи и узнавать больше о нефтепереработке, то подписывайтесь на канал.