Добавить в корзинуПозвонить
Найти в Дзене
Kataeva_dzen_my life🖤

ЦЕПОЧКИ РЕАКЦИЙ С ХИМИЧЕСКИМИ ЭЛЕМЕНТАМИ И ИХ СОЕДИНЕНИЯМИ VА ПОДГРУППЫ

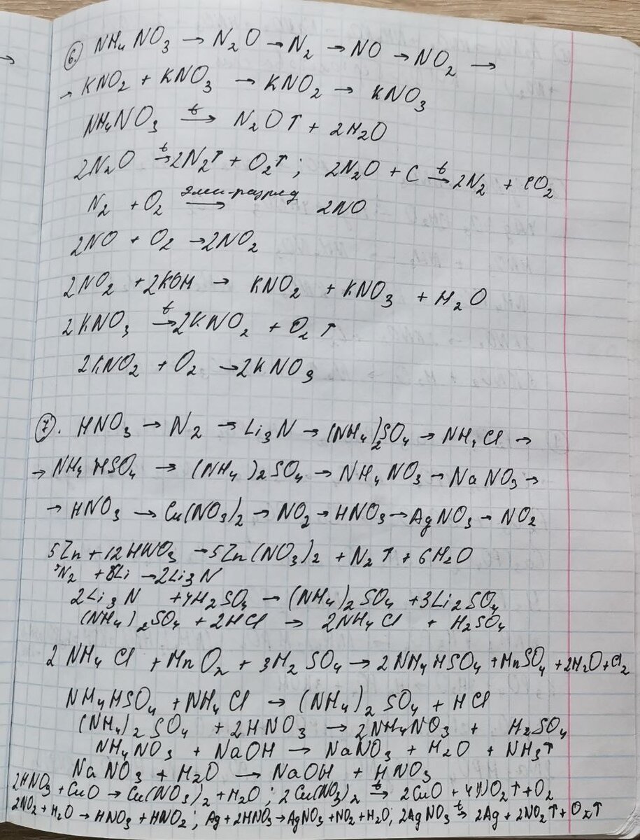
ПРОДОЛЖЕНИЕ 6) NH4NO3 → N2O → N2 → NO → NO2 → KNO2 + KNO3 → KNO2 → KNO3 7) HNO3 → N2 → Li3N → (NH4)2SO4 → NH4Cl → NH4HSO4 → (NH4)2SO4 → NH4NO3 → NaNO3 → HNO3 → Cu(NO3)2 → → NO2 → HNO3 → AgNO3 → NO2 8) AgNO3 → HNO3 → NH4NO3 → KNO3 → KNO2 → N2 9) P2O5 → Ca3(PO4)2 → H3PO4 → NH4H2PO4 → (NH4)2HPO4 → K3PO4 → H3PO4 → Na2HPO4 → Ag3PO4 10) Ca3(PO4)2 → P → P2O5 → H3PO4 → NaH2PO4 → Na3PO4 → Ag3PO4 11) Mg → Mg3P2 → PH3 → P2O5 → HPO3 → H4P2O7 → H3PO4 → (NH4)2HPO4 12) P → Ca3P2 → PH3 → P2O5 → HPO3 → H3PO4 → KH2PO4 → → Ag3PO4 13) K2HPO4 → K3PO4 → Ca3(PO4)2 → CaHPO4 → Ca(H2PO4)2 → Ca3(PO4)2 → P

ПРОДОЛЖЕНИЕ

6) NH4NO3 → N2O → N2 → NO → NO2 → KNO2 + KNO3 → KNO2 → KNO3

7) HNO3 → N2 → Li3N → (NH4)2SO4 → NH4Cl → NH4HSO4 → (NH4)2SO4 → NH4NO3 → NaNO3 → HNO3 → Cu(NO3)2 → → NO2 → HNO3 → AgNO3 → NO2

-2

8) AgNO3 → HNO3 → NH4NO3 → KNO3 → KNO2 → N2

9) P2O5 → Ca3(PO4)2 → H3PO4 → NH4H2PO4 → (NH4)2HPO4 → K3PO4 → H3PO4 → Na2HPO4 → Ag3PO4

-3

10) Ca3(PO4)2 → P → P2O5 → H3PO4 → NaH2PO4 → Na3PO4 → Ag3PO4

11) Mg → Mg3P2 → PH3 → P2O5 → HPO3 → H4P2O7 → H3PO4 → (NH4)2HPO4

-4

12) P → Ca3P2 → PH3 → P2O5 → HPO3 → H3PO4 → KH2PO4 → → Ag3PO4

13) K2HPO4 → K3PO4 → Ca3(PO4)2 → CaHPO4 → Ca(H2PO4)2 → Ca3(PO4)2 → P

-5