Найти в Дзене

Колебательный контур. Движение поля по уравнениям Максвелла.

Вся серия статей о электромагнитной волне, как о колебательном процессе, начинается с мантры: Свет – это не чудо, созданное для освещения пространства. Свет это аккуратный скальпель хирурга, надрезающий пространство вакуума для выхода избытка энергии. Это тот свищ, через который избыток высвободившейся энергии изливается куда угодно, только бы снизить перепад энергетических потенциалов, возникший в одном месте. А то, что растения, животные, люди, а сейчас еще и умные машины научились использовать свойства света – это прекрасный дар природы нам всем. И в чем-то наша заслуга. Напомню о корнях, на которых выросла эта серия статей: «Колебательный контур. Первый шаг к уравнениям Максвелла» – объяснение работы колебательного контура. «Колебательный контур. Шаг в вакуум» – основная идея Максвелла о взаимозависимости напряженностей магнитного и электрического полей. «Колебательный контур. Вглубь вакуума» - вопрос возможности концентрации энергии в виде электрического и магнитного полей в вакуу

Вся серия статей о электромагнитной волне, как о колебательном процессе, начинается с мантры:

Свет – это не чудо, созданное для освещения пространства. Свет это аккуратный скальпель хирурга, надрезающий пространство вакуума для выхода избытка энергии. Это тот свищ, через который избыток высвободившейся энергии изливается куда угодно, только бы снизить перепад энергетических потенциалов, возникший в одном месте.

А то, что растения, животные, люди, а сейчас еще и умные машины научились использовать свойства света – это прекрасный дар природы нам всем. И в чем-то наша заслуга.

Напомню о корнях, на которых выросла эта серия статей:

«Колебательный контур. Первый шаг к уравнениям Максвелла» – объяснение работы колебательного контура.

«Колебательный контур. Шаг в вакуум» – основная идея Максвелла о взаимозависимости напряженностей магнитного и электрического полей.

«Колебательный контур. Вглубь вакуума» - вопрос возможности концентрации энергии в виде электрического и магнитного полей в вакууме без каких-либо устройств.

Динамическую модель контура можно посмотреть здесь.

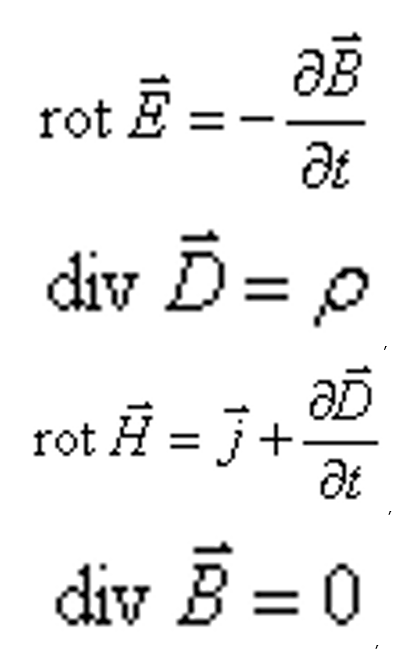
Давайте посмотрим на упоминавшиеся ранее уравнения Максвелла в дифференциальной форме:

Напомню, что стрелками сверху обозначаются векторные величины. В данном случает имеется в виду наше трехмерное пространство, с тремя декартовыми координатами, то есть каждое уравнение содержит в себе упоминание обо всех проекциях векторов на оси координат. Ну и еще не забываем о времени, которое присутствует в двух уравнениях в качестве аргумента приращения функций.

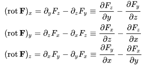
Теперь раскроем оператор rot (ротор).

-2

Достаточно точное определение полного ротора есть в Википедии. Мы не будем рассматривать свободное перемещение напряженности электрического или магнитного поля в пространстве, это удел физиков и математиков. Нам нужно понять, что в левой части первого и третьего уравнений Максвелла рассматриваются изменения напряженностей при движении вдоль выбранной оси.

Первое уравнение рассматривает зависимость вихревой напряженности электрического поля в пространстве (ротор по X, Y, Z) от изменения магнитной индукции во времени. Естественно, что в правой части первого уравнения представлена производная магнитной индукции по времени. Пожалуйста, обратите внимание: в левой части – производные по осям координат, в правой – по времени. При построении и рассмотрении графиков это очень важно!

Третье уравнение связывает напряженность магнитного поля с протекающими токами и динамическими изменениями напряженности электрического поля. В нашем случае проводимость вакуума равна нулю, фактического тока нет, поэтому третье уравнение становится очень похожим на первое, только поля меняются местами.

Для полной связки первого и третьего уравнений вспомним, что

-3

Для вакуума ε=1 и μ=1.

По сути дела, оператор rot рассматривает вращение одного вектора вокруг другого. В нашем случае вектор магнитного поля действительно вращается вокруг вектора электрического поля, а вот электрическая напряженность двигается строго по прямой линии. Кроме этого, мы рассматриваем обособленный луч, без учета влияния других электромагнитных полей. Вектор магнитного поля в этом случае во всех направлениях одинаков. Поэтому можно заменить уравнения в частных производных на более понятные уравнения

E = -dB/dt

H = dD/dt

D = ε0*E

B = μ0*H

Изменения напряженности электрического поля E нам задает источник света

E = E0*sin(ω*t)

Отсюда

D = ε0 * E0 * sin(ω*t)

H = dD/dt = ε0 * ω * E0 * cos(ω*t)

B = μ0*H = ε0 * μ0 * ω * E0*cos(ω*t)

А теперь разберем, как эти формулы работают в световом луче.

-4

Генератор электрической напряженности Г создает синусоидальный потенциал в точке А. Между точкой А и точкой Б образуется перепад напряженности электрического поля, вызывающий появление кольцевой магнитной напряженности Hаб. Поток от этой напряженности удерживает потенциал точки Б, все время, пока растет потенциал точки А.

-5

За время пока удерживается потенциал точки Б возникает следующий магнитный поток Нбв, переносящий еще одну часть электрического заряда в точку В.

-6

Далее потенциал точки А снижается под действием генератора. И после того, как энергия магнитного поля от Наб полностью погасится, направление магнитной напряженности Наб меняется на противоположное. Таким образом электрический потенциал точки Б отстает от изменений потенциала точки А. Это отставание обуславливает нарастание размаха колебаний потенциала точки Б. Ведь магнитная напряженность пропорциональна разности электрических потенциалов А и Б, поэтому энергия магнитного потока все более задерживает заряд-разряд точки Б, пока эти колебания не войдут в резонанс с колебаниями потенциала точки А (генератора), но со сдвигом на 90 градусов. Одновременно будет происходить раскачивание потенциала точки В и тоже до резонанса с точкой Б и сдвигом относительно нее на 90 градусов. Такая цепочка раскачивающихся точек может быть любой длины.

Надеюсь, мое объяснение помогло тем, кто в нем нуждался.

Спасибо, что дочитали статью до конца.