Добавить в корзинуПозвонить
Найти в Дзене
Марина Горобец

Муравьи и паук. Съест ли паук муравья?

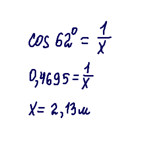
📍Задача: Муравьи могут слышать друг друга на расстоянии до 2 метров. Муравей в точке А, в 1 м от стены, видит своего друга в точке В, которого вот-вот съест паук. Если угол возвышения точки В от точки А равен 62°, будет ли паук есть или нет? (Предположим, что В убегает, если слышит зов.) 📍Решение: Вычислим расстояние между муравьями. Рассмотрим прямоугольный треугольник. Расстояние между муравьями это гипотенуза. Известен ∠А = 62° и прилежащий катет, равный 1 м. Пусть АВ = x. Косинус острого угла в прямоугольном треугольнике — отношение прилежащего катета к гипотенузе. Расстояние между муравьями 2,13 м. 📍Паук будет есть муравья. _____________________________ Как Вам эта задачка? 👍 Делать еще такие разборы задач?😉

📍Задача:

Муравьи могут слышать друг друга на расстоянии до 2 метров. Муравей в точке А, в 1 м от стены, видит своего друга в точке В, которого вот-вот съест паук. Если угол возвышения точки В от точки А равен 62°, будет ли паук есть или нет? (Предположим, что В убегает, если слышит зов.)

📍Решение:

Вычислим расстояние между муравьями. Рассмотрим прямоугольный треугольник. Расстояние между муравьями это гипотенуза. Известен ∠А = 62° и прилежащий катет, равный 1 м.

Пусть АВ = x.

Косинус острого угла в прямоугольном треугольнике — отношение прилежащего катета к гипотенузе.

-2

Расстояние между муравьями 2,13 м.

📍Паук будет есть муравья.

_____________________________

Как Вам эта задачка? 👍

Делать еще такие разборы задач?😉