Добавить в корзинуПозвонить
Найти в Дзене

✍ Лабораторная работа 2 Разветвляющийся алгоритм (второй тип лаб работы)

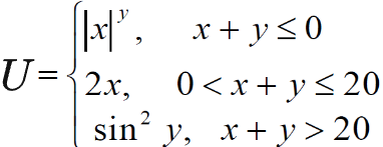
Задача а) Постановка задачи. Составить блок-схему и программу для вычисления значения функции U при различных значениях x и y. 1 способ через вложенные операторы if (применяются операторы if содержащие обе ветви) Блок-схема: Программа С++: Расчет по первой ветви: Расчет по второй ветви: Расчет по третьей ветви: Программа Mathcad: Программа MS Excel (OO Calc) в режиме чисел: Программа MS Excel (OO Calc) в режиме формул: 2 способ через последовательные операторы if (применяются операторы if содержащие только одну ветвь) Блок-схема: Программа С++: Расчет по первой ветви: Расчет по второй ветви: Расчет по третьей ветви: Программа Mathcad: Операторы if и otherwise берем с панели Программирование! Задача б) Постановка задачи. Составить блок-схему и программу для вычисления значения функции Z при различных значениях x и y. 1 способ (сами отбираем минимальное или максимальное значение, сравнивая предлагаемые функции) Блок-схема:
Программа С++: Подключаем библиотеку <iomanip> в
Оглавление

Задача а)

Постановка задачи. Составить блок-схему и программу для вычисления значения функции U при различных значениях x и y.

-2

1 способ через вложенные операторы if (применяются операторы if содержащие обе ветви)

Блок-схема:

-3

Программа С++:

-4

Расчет по первой ветви:

-5

Расчет по второй ветви:

-6

Расчет по третьей ветви:

-7

Программа Mathcad:

-8

Программа MS Excel (OO Calc) в режиме чисел:

-9

Программа MS Excel (OO Calc) в режиме формул:

-10

2 способ через последовательные операторы if (применяются операторы if содержащие только одну ветвь)

Блок-схема:

-11

Программа С++:

-12

Расчет по первой ветви:

-13

Расчет по второй ветви:

-14

Расчет по третьей ветви:

-15

Программа Mathcad:

-16
Операторы if и otherwise берем с панели Программирование!

Задача б)

Постановка задачи. Составить блок-схему и программу для вычисления значения функции Z при различных значениях x и y.

-17

1 способ (сами отбираем минимальное или максимальное значение, сравнивая предлагаемые функции)

Блок-схема:

-18


Программа С++:

-19
Подключаем библиотеку <iomanip> в строке 7, чтобы в строках 21, 22 использовать функцию setw(n), которая выводит данные в n ячейках.

Расчет по первой ветви:

-20

Расчет по второй ветви:

-21

Программа Mathcad:

-22

Операторы if и otherwise берем с панели Программирование!

2 способ (применяя функции max, min из библиотеки <algorithm>)

Блок-схема:

-23

Программа С++:

-24

Подключаем библиотеку <iomanip> в строке 7, чтобы в строках 23, 24 использовать функцию setw(n), которая выводит данные в n ячейках.
Подключаем библиотеку <algorithm> в строке 8, чтобы в строке 25 использовать функцию min(a, b).
Особенностью функций min(a, b) и max(a, b) в языке С++ является то, что можно сравнивать лишь два значения.
Если требуется сравнить три или четыре значения, то используем вложенные функции:
min(min(a, b), c)
max(max(a, b), max(c, d))
Подключаем библиотеку <conio.h> в строке 9, чтобы в строке 29 (в самом конце программы) использовать функцию _getch() для зависания экрана. Используем ее, если не срабатывает зависание экрана при запуске программы клавишами CTRL+F5

Расчет по первой ветви:

-25

Расчет по второй ветви:

-26

Программа Mathcad:

-27

Программа Mathcad, в отличие от С++, позволяет сравнивать сразу несколько значений с помощью функций max(), min().
Для сравнения трех значений: min(a,b,c)
Для сравнения четырех значений: max(a, b, c, d)

Программа MS Excel (OO Calc) в режиме чисел:

-28

Программа MS Excel (OO Calc) в режиме формул:

-29

Задача в)

Постановка задачи. Для пары чисел x, y выяснить: попадает ли точка с координатами (x, y) внутрь области1 (красный цвет) или области2 (синий цвет), и вывести на печать соответствующее сообщение.
Область1: 0≤
y≤sin(x)+2 при -2≤х≤2
Область2: на рисунке

-30

Комментарий
Чтобы составлять блок-схему и программы, давайте разберемся, как правильно записать условие попадания в области.
Важно, чтобы для каждой области были указаны оба условия: по х и по у.
Чтобы мы попали в Область1, должны одновременно выполниться условия:
0≤
y≤sin(x)+2 И -2≤х≤2
Чтобы мы попали в Область2, должны одновременно выполниться условия: 0≤
y≤2 И 3≤х≤6
А так как нам не важно, в какую именно область мы попали, то нам подойдет и Область1, и Область2, значит объединим их с помощью ИЛИ:
0≤
y≤sin(x)+2 И -2≤х≤2 ИЛИ 0≤y≤2 И 3≤х≤6
Введем логические переменные a и b:
а будет отвечать за попадание в Область1: а = 0≤y≤sin(x)+2 И -2≤х≤2
b будет отвечать за попадание в Область2: b = 0≤y≤2 И 3≤х≤6
Значит, итоговое условие попадания в Область1 или Область2 будет таким:
а ИЛИ b

Блок-схема:

-31

Программа С++:

-32

Попадание в Область1:

-33

Попадание в Область2:

-34

Промах:

-35

Программа Mathcad:

-36

Программа MS Excel (OO Calc) в режиме чисел:

-37

Программа MS Excel (OO Calc) в режиме формул:

-38

⚜⚜⚜⚜⚜⚜⚜⚜⚜⚜⚜⚜⚜⚜⚜⚜⚜⚜⚜⚜⚜⚜⚜⚜⚜⚜⚜⚜⚜

✅ Оглавление:

✍ Лекции 1 семестр здесь
✍ Лабораторная работа 1 Линейный и разветвляющийся алгоритмы (первый тип лаб работы)
здесь
✍ Лабораторная работа 1 Линейный и разветвляющийся алгоритмы (второй тип лаб работы)
здесь
✍ Лабораторная работа 1 Линейный и разветвляющийся алгоритмы (третий тип лаб работы)
здесь
✍ Лабораторная работа 2 Разветвляющийся алгоритм (второй тип лаб работы)
здесь
✍ Лабораторная работа 2 Циклический алгоритм
здесь
Лабораторная работа 3 Циклический алгоритм (второй тип лаб работы) здесь
Лабораторная работа 2 Циклический алгоритм (третий тип лаб работы) здесь
✍ Лабораторная работа 3 Одномерный и двумерный массивы
здесь
Лабораторная работа 3 Массивы (третий тип лаб работы) здесь
✍ Что будет на экзамене или зачете 1 семестр
здесь

👉 Информатика НГТУ им. Р.Е.Алексеева здесь

🧭 Путеводитель по каналу Подслушано по Математике здесь