Добавить в корзинуПозвонить
Найти в Дзене
Научпок Блондинки

Теория потребительского поведения. Оптимум потребителя (кардиналистский и ординалистский подходы)

Маржинализм и теория потребительского поведения основываются на постулате, что анализ экономических процессов следует начинать с выявления субъективных предпочтений людей и выявления полезности благ. Полезность благ – это 1) их потребительский эффект, наличие таких свойств и качеств, удовлетворяющих конкретным субъективным запросам людей; 2) степень удовлетворения потребителя благом. Классификация благ: 1) неэкономические (атмосферный воздух, пресная/соленая вода) 2) экономические блага – это редкие блага, доступный объем которых меньше потребности в них. Кардинализм: · основан на допущении возможности точно измерить полезность благ и на использовании этой целью гипотетических количественных единиц полезности – ютилей. · экономисты знают какую степень удовлетворения получил потребитель в результате покупки. Общая полезность (TU) – накопленная сумма полезностей от всей совокупности последовательно приобретенных единиц определенного блага. При совершении последовательной серии покупок од

Маржинализм и теория потребительского поведения основываются на постулате, что анализ экономических процессов следует начинать с выявления субъективных предпочтений людей и выявления полезности благ.

Полезность благ – это 1) их потребительский эффект, наличие таких свойств и качеств, удовлетворяющих конкретным субъективным запросам людей; 2) степень удовлетворения потребителя благом.

Классификация благ: 1) неэкономические (атмосферный воздух, пресная/соленая вода)

2) экономические блага – это редкие блага, доступный объем которых меньше потребности в них.

Кардинализм:

· основан на допущении возможности точно измерить полезность благ и на использовании этой целью гипотетических количественных единиц полезности – ютилей.

· экономисты знают какую степень удовлетворения получил потребитель в результате покупки.

Общая полезность (TU) – накопленная сумма полезностей от всей совокупности последовательно приобретенных единиц определенного блага.

При совершении последовательной серии покупок одного и того же блага каждая доп. единица последующих покупок приносит потребителю меньшее удовлетворение, чем предыдущее. Это обусловлено психологически.

Предельная полезность (MU) – полезность, приносящая потребителю использование доп. единицы данного блага.

Взвешенная предельная полезность – это отношение предельной полезности блага к его цене.

Закон убывающей предельной полезности: по мере роста потребления однородных благ суммарный полезный эффект от них увеличивается, но одновременно неуклонно убывает предельная полезность каждой доп. единицы этого приращения.

-2

Рост суммарного полезного эффекта постепенно убывает и прекращается в интервале 3-4 единиц приращения, где достигнутый суммарный эффект 6 ютилей не изменяется.

Динамика и темп убывания предельной полезности являются отражением динамики функции общей полезности: замедление, а затем и прекращение роста общей полезности выражается в соответствующем убывании величины предельной полезности.

Равновесие потребителя:

Из множества благ, доступных потребителю, он всегда будет выбирать те сочетания благ и товаров, которые соответствуют его представлениям о полезности покупок, соизмеренных с возможностями личного бюджета. Если цена блага соразмерна с его ценой, то он покупает данное благо.

То есть, (пояснение от блонди): Если перед покупателем стоит две продуктовых корзины (корзина А и корзина Б), и корзина А и корзина Б стоят одинаково, 1500р. В корзине А лежит 10 яиц, сметана, творог, курица, макароны, кола, хлеб, бананы и шоколадка. В корзине Б лежит только много много хлеба (на 1500р.). Получается, исходя из закона убывающей предельной полезности покупателю не нужно много-много хлеба, так как он ему просто надоест. И уже на 3-й день поедания только хлеба, покупателя уже будет тошнить от этого хлеба. Т.е чем больше употребляем какой-либо продукт подряд, тем больше с кадым разом уменьшается его полезность для покупателя.

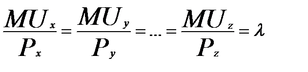
Закон равных предельных полезностей: Товар пользуется особым спросом до тех пор, пока предельная полезность, приходящаяся на одну успешную единицу, не станет равной предельной полезности других товаров на одну затраченную денежную единицу.

В аналитической форме максимум общей полезности можно выразить так:

-3

То есть с позиции потребителя соотношение цен товаров должна соответствовать соотношению их предельных полезностей.

Ординализм:

· невозможно точно измерить полезность благ

· акцент на приоритетах потребителя

· система аксиом

· шкалы полезности

Аксиомы ординализма:

1. аксиома «ненасыщения»(при прочих равных условиях для покупателя предпочтительнее большее кол-во блага; качественные предпочтительнее некачественных)

2. аксиома «рефлексивности»(если два набора благ одинаковы, то, оценивая их полезность, покупатель признает, что любой из этих наборов не хуже другого)

3. аксиома «полной упорядоченности» (при наличии 2 различающихся наборов благ потребитель способен либо ранжировать свои предпочтения в пользу одного из них, либо признать их в равной степени предпочтительными)

4. аксиома «транзитивности» (если покупатель предпочитает набор 1 набору 2, а набор 2 набору 3, то он предпочитает набор 1 набору 3)

5. аксиома «независимости» (уровень удовлетворения потребителя зависит только от количества потребляемых им благ и не зависит от количества благ, потребляемых другими.

Кривая безразличия – геометрическое место точек, включающее все комбинации наборов благ, имеющие одинаковую полезность для потребителя.

-4

Свойства кривых безразличия:

1. кол-во кривых на карте не ограничено

2. кривые, расположенные дальше от начала координат, соответствует более предпочтительным для потребителя набором товаров

3. кривые безразличия, принадлежащие одной карте предпочтений, никогда не пересекаются

4. кривые выпуклы к началу координат

5. касательная, проведенная к любой точке кривой имеет отрицательный угол наклона.

Карта кривых безразличияэто совокупность всех кривых безразличия, соответствующая всем уровням потребления данного потребителя.

Предельная норма замещения: показывает, от какого количества единиц одного блага потребитель должен отказаться, чтобы приобрести дополнительную единицу другого блага. Иными словами, это соотношение предельной полезности двух благ.

Бюджетная линия - это прямая, точки которой показывают наборы благ, при покупке которых выделенный доход тратится полностью.

Бюджетная линия:

— сдвигается вправо, когда доход потребителя увеличивается или цены товаров снижаются одинаково;

— сдвигается влево, когда доход потребителя уменьшается или цены товаров возрастают одинаково;

— меняет угол наклона, когда цены товаров изменяются непропорционально.

-5

Равновесие потребителя

Для определения условий равновесия потребителя в ординалистской теории необходимо совместить карту безразличия и бюджетную линию в одной системе координат.

-6

Выбирая оптимальный набор благ, потребитель ставит перед собой две цели:

1) потратить весь доход, следовательно, его не будут интересовать комбинации товаров, лежащие ниже бюджетной линии (т.к. при их выборе часть дохода останется неизрасходованной), а также те комбинации, которые находятся выше бюджетной линии (т.к. они недоступны при данном доходе);

2) получить максимальную полезность, следовательно, потребитель будет стремиться к выбору комбинации благ, расположенной на кривой безразличия, максимально удаленной от начала координат.

Выбор потребителя считается оптимальным, если он приобретает набор благ, соответствующий точке касания бюджетной линии с самой высшей кривой безразличия.

Точка Е отражает оптимальный выбор потребителя и состояние равновесия потребителя.

В точке потребительского оптимума предельная норма замещения двух благ равна обратному соотношению цен этих благ.

Излишек потребителя, который может быть просчитан в денежных единицах, является разницей между совокупной полезностью определенного количества данного блага и рыночной стоимостью этого количества (цена, умноженная на количество покупаемых единиц данного блага).

Кривая «доход-потребление» - все точки, показывающие последовательный рост потребления под влиянием возрастающего реального дохода, будучи соединенными в единую линию.

-7

Кривая «цена-потребление» - это графическая интерпретации последствий частичного снижения цен при неизменных доходах.

-8

Кривая важна в 2 случаях:

1. Из кривой вытекает закон спроса – обратная зависисмость между движением цен и кол-вом закупок по этой цене.

2. Линия показывает влияние изменения цен на замещение одного товара – другим.

Эффект дохода - это изменение спроса на товар только как результат колебания покупательной способности денежного дохода, вызванного в свою очередь изменением цен.

Эффект замещения – это изменение величины спроса на данный товар, вызванное перераспределением спроса в его пользу в результате роста или снижения цены данного товара.

-9

График анализирует смещение бюджетной линии из положения KL в положение KL

  • в результате понижения цены на товар Х. Сместившаяся бюджетная линия коснется новой кривой безразличия, а потребительское равновесие сместится в результате этого из положения Е1 в положение Е2, что вызовет увеличение потребления товара Х. Ясно, что последнее складывается из 2х эффектов:
  • С одной стороны, как и при любом понижении цен, покупатель становится реально богаче и покупает больше всяких товаров, в том числе больше товара Х
  • С другой стороны, понизившаяся цена на товар Х стимулирует переключение спроса с других товаров именно на него

Чтобы отличить один эффект от другого проведем вспомогательную линию NM , параллельную линии KL*и касающуюся прежней кривой безразличия 1 в точке А . Напомним, что угол наклона бюджетной линии определяется отношением цен товара Х и Y. Значит, поскольку наша кривая NM параллельна KL*, она, как и та, представляет собою бюджетную линию, соответствующую новым ценовым пропорциям, сложившимся после подешевения товара Х. Сопоставим теперь точки Е1 и А. Они лежат на одной и той же кривой безразличия и имеют одинаковый ранг полезности. Но точка Е1 была оптимальной при старом соотношении цен, поскольку являлась точкой касания кривой безразличия с соответствовавшей этому соотношению бюджетной линией KL. А точка А оптимальна при новом соотношении цен, поскольку касается линии NM . Логично в этих условиях интерпретировать расстояние между точками Е1 и А по оси Х, как прирост потребления товара Х, вызванный исключительно изменением пропорции цен( на рисунке помечено как эффект замещения). Оставшуюся же часть прирост потребления товара Х следует рассматривать как результат эффекта дохода.