Найти в Дзене
Проводник в мир химии

Чуть сложнее простого - Оксиды и их классификация

Пожалуй, самым простым классом веществ, рассматриваемым химией являются те, которые состоят из одного типа атомов - их так и называют - простые вещества. Сегодня я расскажу о чуть более сложных материях - о классе веществ, которые называются оксиды. Они состоят из двух видов атомов. Один из них - обязательно кислород, второй - любой другой химический элемент, кроме фтора. Почему фтор в данном случае исключение - расскажу чуть позже. Большинство оксидов можно получить напрямую - взаимодействием простого вещества и кислорода. Взаимодействие в данном случае - это химическая реакция, в которой кислород отбирает себе электроны от атома-компаньона - его называют элементом, образующим оксид - будем дальше называть его просто - элемент. Так вот, разные элементы с разной "охотой" отдают кислороду свои электроны. Те, что делают это легко - реагируют бурно. Это элементы, стоящие слева и внизу в таблице Менделеева: и чем левее и ниже, тем активнее будет реакция. Например, реакция с цезием происход

Пожалуй, самым простым классом веществ, рассматриваемым химией являются те, которые состоят из одного типа атомов - их так и называют - простые вещества.

Сегодня я расскажу о чуть более сложных материях - о классе веществ, которые называются оксиды. Они состоят из двух видов атомов. Один из них - обязательно кислород, второй - любой другой химический элемент, кроме фтора. Почему фтор в данном случае исключение - расскажу чуть позже.

Оксиды разных химических элементов
Оксиды разных химических элементов

Большинство оксидов можно получить напрямую - взаимодействием простого вещества и кислорода. Взаимодействие в данном случае - это химическая реакция, в которой кислород отбирает себе электроны от атома-компаньона - его называют элементом, образующим оксид - будем дальше называть его просто - элемент.

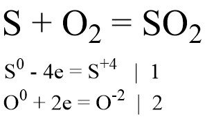
Реакция серы с кислородом. Атом кислорода - окислитель и принимает 2 электрона. Атом серы - восстановитель, и отдает 4 электрона.
Реакция серы с кислородом. Атом кислорода - окислитель и принимает 2 электрона. Атом серы - восстановитель, и отдает 4 электрона.

Так вот, разные элементы с разной "охотой" отдают кислороду свои электроны. Те, что делают это легко - реагируют бурно. Это элементы, стоящие слева и внизу в таблице Менделеева: и чем левее и ниже, тем активнее будет реакция. Например, реакция с цезием происходит так бурно, что случается взрыв.

-3
Реакция цезия кислородом воздуха
Реакция цезия кислородом воздуха

А вот в противоположном конце периодической системы - в правом верхнем углу - находятся элементы, которые делятся электронами неохотно - это значит, что они трудно реагируют с кислородом, и для проведения взаимодействия нужно приложить энергию - нагреть реакционную смесь, или даже пропустить через нее высоковольтный разряд.

В электрической дуге токоприемника трамваев и троллейбусов образуется облачко дыма Оно состоит, помимо испаряющихся под действием высокой температуры металлов, моментально окисляющихся при высокой температуре дуги, из продукта реакции азота и кислорода воздуха - монооксида азота.
В электрической дуге токоприемника трамваев и троллейбусов образуется облачко дыма Оно состоит, помимо испаряющихся под действием высокой температуры металлов, моментально окисляющихся при высокой температуре дуги, из продукта реакции азота и кислорода воздуха - монооксида азота.

И самый правый верхний элемент периодической системы - фтор - вовсе не образует оксидов, потому что вообще не способен отдать кислороду электроны. И даже наоборот - он отбирает электроны у кислорода. Химическое соединение, конечно, получается, но называется оно не оксид, а фторид, потому что для того, чтобы соединение с кислородом называлось оксидом, непременно кислород должен отбирать электроны, переходя в степень окисления «-2» - именно то количество лишних, отобранных им электронов, которое приходится на один атом кислорода.

То, какой химический элемент образует оксид, определяет его химические свойства и классификацию: оксиды делят на кислотные, основные, амфотерные и несолеобразующие. Классификация эта очень практичная, и в ней уже заложены свойства веществ, входящих в классы. Так, одно из свойств оксидов - способность реагировать с водой, и кислотные оксиды превращаются в кислоты, а основные в основания. А если такой способности у конкретного оксида нет - то для него все равно будет существовать гидроксид (обводненный оксид): кислота или основание. Посмотрите на схему ниже - вам станет понятнее😉

-6

Кислотным оксидом называют такой, в котором элемент -это неметалл в любой степени окисления, или металл в степени окисления больше +4.

А основные оксиды образуют только металлы, в степенях окисления +1 и +2.

Тут есть исключения - их нужно искать среди амфотерных и несолеобразующих оксидов.

Амфотерные оксиды стоят особняком - их свойства таковы, что, в зависимости условий, они ведут себя то как кислотные, то как основные оксиды. Но им соответствуют амфотерные гидроксиды, которые получают косвенно - напрямую оксиды этого типа с водой не реагируют.

И совсем на отшибе - несолеобразующие оксиды. Для них нет соответствующих кислот и оснований.

Схемку с оксидами и гидроксидами вы найдете в закрепе к посту😊

В следующий раз я расскажу о химических свойствах оксидов. До новых встреч!