Найти в Дзене
Войти
Dokstan.ru
99 подписчиков
Подписаться
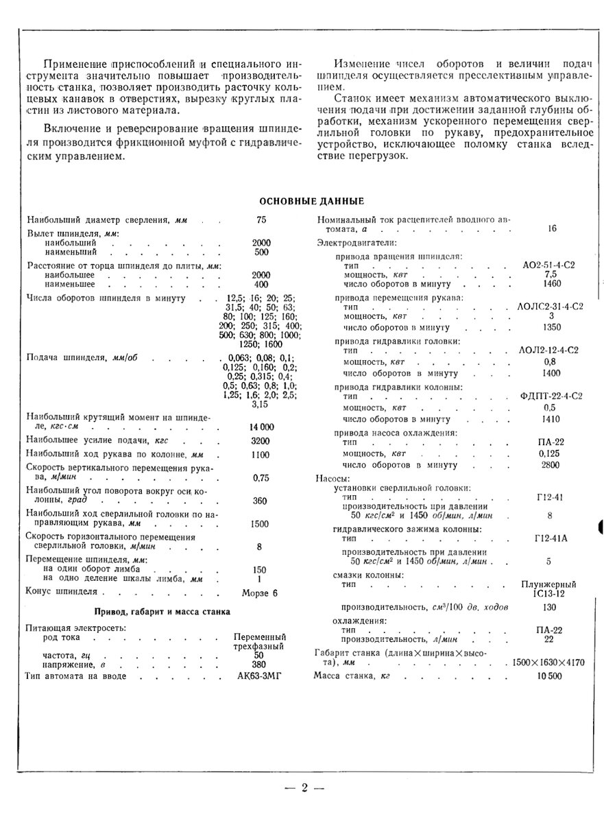
Технические характеристики на радиально-сверлильный станок 2М57
23 августа 2023
23 авг 2023
10