Найти в Дзене
Пи Эр Квадрат

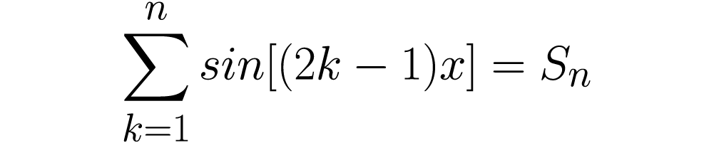
Задача #36: Как сложить произвольное число синусов?

Всем добрый день! Сегодня посчитаем такую интересную сумму: Количество слагаемых здесь любое, а значит, потенциально, бесконечное. Как же посчитать такую сумму? Давайте обозначим искомую сумму некоторой переменной: Затем рассмотрим тривиальный вариант: Если синус будет равен нулю, то: Подставим в исходную сумму и заметим, что все слагаемые равны нулю: Тогда, при таких значениях x сумма очевидна: Теперь, рассмотрим остальные значения синуса. Не просто так же я откинул предыдущий вариант? Давайте умножим левую и правую части на 2 синус х: Теперь выражение под знаком суммы можно разложить на разность косинусов: Распишем нашу сумму, причем начнем с конца (так удобнее): Если внимательно присмотреться, то окажется, что все слагаемые, кроме первого и последнего приводятся: Разложим косинус двойного угла: Единицы приводятся, красота! Несложно найти ответ: Итак, окончательно наша сумма равна: Интересная и немного нетривиальная задача, как по мне! Спасибо за внимание и удачи! Если вам понравила

Всем добрый день! Сегодня посчитаем такую интересную сумму:

Количество слагаемых здесь любое, а значит, потенциально, бесконечное. Как же посчитать такую сумму? Давайте обозначим искомую сумму некоторой переменной:

-2

Затем рассмотрим тривиальный вариант:

-3

Если синус будет равен нулю, то:

-4

Подставим в исходную сумму и заметим, что все слагаемые равны нулю:

-5

Тогда, при таких значениях x сумма очевидна:

-6

Теперь, рассмотрим остальные значения синуса. Не просто так же я откинул предыдущий вариант? Давайте умножим левую и правую части на 2 синус х:

-7

Теперь выражение под знаком суммы можно разложить на разность косинусов:

-8

Распишем нашу сумму, причем начнем с конца (так удобнее):

-9

Если внимательно присмотреться, то окажется, что все слагаемые, кроме первого и последнего приводятся:

-10

Разложим косинус двойного угла:

-11

Единицы приводятся, красота! Несложно найти ответ:

-12

Итак, окончательно наша сумма равна:

-13

Интересная и немного нетривиальная задача, как по мне! Спасибо за внимание и удачи!

Если вам понравилась задача, то ставьте лайк и подписывайтесь на канал. Математики будет много!