Добавить в корзинуПозвонить
Найти в Дзене

Основные формулы для решения задач по химии (часть 1)

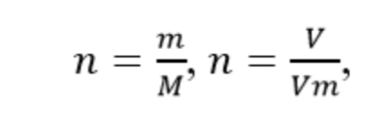
Всем привет! В сегодняшней статье я хочу рассказать о главных формулах для решения задач по химии.​ Рассматривая структуру теста, вы столкнетесь не только с заданиями, в которых нужно выбрать правильные ответы из предложенных вариантов, но и задачи. В первой части обычно 3 простых задачи и 2 задачи во второй части с повышенным уровнем сложности. Для того чтобы решить любую задачку по химии вы должны знать несколько формул и научиться ими пользоваться. 1.​ ​ ​ ​Количество вещества - это физическая величина, которая характеризует количество структурных частиц одного типа.​ Обозначается эта величина буквами n или υ, измеряется в [моль] Вам, для решения задач из теста необходимо использовать только 2 формулы для нахождения количества вещества. Где: m- масса вещества [г, кг] M - молярная масса вещества [г/моль, кг/кмоль] V- объём [л, мл] Vm- молярный объем, это постоянная величина равная 22,4 л/моль Масса вещества, объем и молярный объем это величины, которые могут быть даны по условию

Всем привет!

В сегодняшней статье я хочу рассказать о главных формулах для решения задач по химии.​ Рассматривая структуру теста, вы столкнетесь не только с заданиями, в которых нужно выбрать правильные ответы из предложенных вариантов, но и задачи. В первой части обычно 3 простых задачи и 2 задачи во второй части с повышенным уровнем сложности.

Для того чтобы решить любую задачку по химии вы должны знать несколько формул и научиться ими пользоваться.

1.​ ​ ​ ​Количество вещества - это физическая величина, которая характеризует количество структурных частиц одного типа.​

Обозначается эта величина буквами n или υ, измеряется в [моль]

Вам, для решения задач из теста необходимо использовать только 2 формулы для нахождения количества вещества.

Где: m- масса вещества [г, кг]

M - молярная масса вещества [г/моль, кг/кмоль]

V- объём [л, мл]

Vm- молярный объем, это постоянная величина равная 22,4 л/моль

-2

Масса вещества, объем и молярный объем это величины, которые могут быть даны по условию задачи, где же взять М?

М-молярная масса вещества, а именно масса одного моля вещества. Это сумма всех атомных масс элементов с учетом их индексов.

Атомная масса (Ar) величина рассчитанная и указанная в ПСХЭ Д.И. Менделеева.

Что такое индекс? Это количество определенных атомов в молекуле, которое указано в нижнем правом углу после символа элемента. Рассмотрим на примере серной кислоты: Н2SO4.​ В этой молекуле 2 атома водорода, 1 атом серы и 4 атома кислорода, поэтому:

-3

Обратите внимание на массы, которые я записала в формуле выше. Все цифры округлены. Все молярные массы должны быть округлены по общим правилам из математики. Единственным исключением из правил является масса атома хлора, которую вы должны выучить Ar (Cl)=35,5.

Попробуйте самостоятельно найти молярную массу для следующих молекул:

CO2, H2O, NaNO3, Mg(OH)2,KOH,Ca3(PO4)2, (NH4)2CO3, AlCl3.

Итак, после того как вы научились считать молярную массу, перейдем к решению простых задач на нахождение количества вещества.

Рассчитать количество вещества для 2г хлорида натрия.

-4

Для закрепления полученных знаний рассчитайте самостоятельно количество вещества для 4л углекислого газа.

И да,напомню, котеич следит за вами )

-5