Добавить в корзину
Позвонить
Найти в Дзене
Войти
Теплотехника и Теплоэнергетика.
34 подписчика
Подписаться
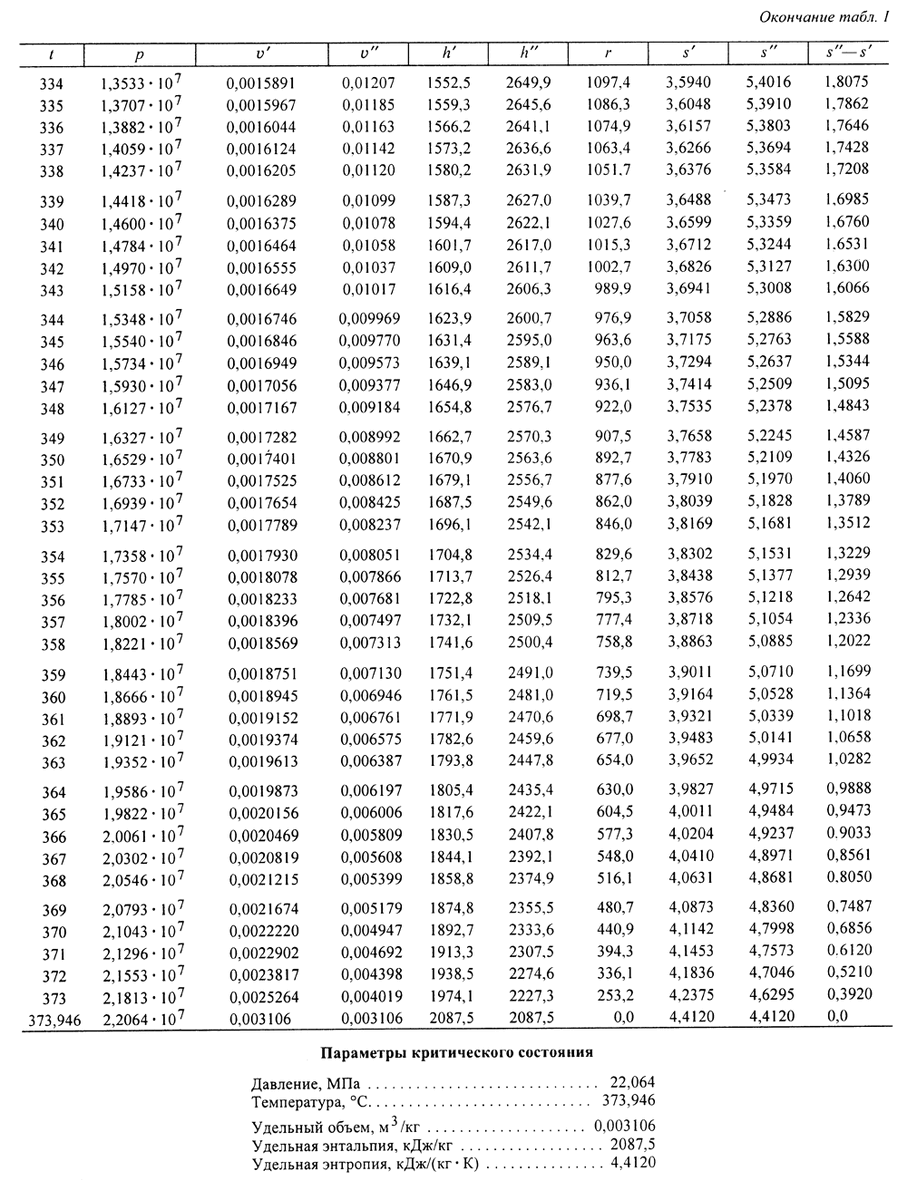
Таблица теплофизических свойств воды и водяного пара
4 августа 2023
4 авг 2023
15
...
Читать далее
2
3403818743.948.1778165586884.88574