Найти в Дзене
Пи Эр Квадрат

Задача #35: Логарифмическое уравнение

Всем добрый день! Сегодня разберем простое логарифмическое уравнение: Для начала заметим, что значение переменной может быть только строго положительным. Однако, как будет ясно позднее — это условие излишне, поэтому опустим его. Начнем решать: Постараемся привести основания к одному и тому же значению. Для этого переведем десятичные дроби в обыкновенные: Упростим: Левую дробь перевернем, заметим, что в правой дроби квадрат: Вуаля, одинаковые основания, которые мы и отбросим: Раскроем скобки и вынесем степень из второго логарифма: Получаем квадратное уравнение относительно логарифма: Корни уравнения легко найти по формулам Виета: Найдем x: Корни, как и было сказано сразу, положительные, поэтому дополнительные ограничения излишни. Простая задача сегодня, но надеюсь, вам понравилась! Подписывайтесь на канал, пишите комментарии: математики будет много! Спасибо за внимание!

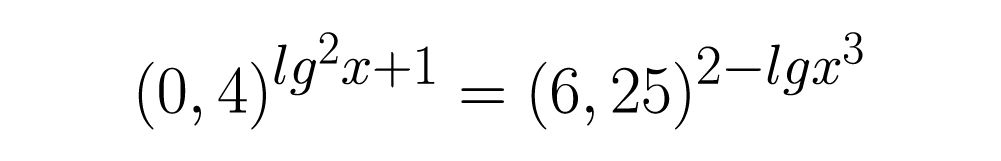
Всем добрый день! Сегодня разберем простое логарифмическое уравнение:

Для начала заметим, что значение переменной может быть только строго положительным. Однако, как будет ясно позднее — это условие излишне, поэтому опустим его. Начнем решать:

-2

Постараемся привести основания к одному и тому же значению. Для этого переведем десятичные дроби в обыкновенные:

-3

Упростим:

-4

Левую дробь перевернем, заметим, что в правой дроби квадрат:

-5

Вуаля, одинаковые основания, которые мы и отбросим:

-6

Раскроем скобки и вынесем степень из второго логарифма:

-7

Получаем квадратное уравнение относительно логарифма:

-8

Корни уравнения легко найти по формулам Виета:

-9

Найдем x:

-10

Корни, как и было сказано сразу, положительные, поэтому дополнительные ограничения излишни.

Простая задача сегодня, но надеюсь, вам понравилась! Подписывайтесь на канал, пишите комментарии: математики будет много! Спасибо за внимание!