Добавить в корзинуПозвонить
Найти в Дзене

Формы определения поставщика, часть III: открытый конкурс

Вот так мы и добрались до финиша нашего мини-цикла статей, где нас ожидает самая сложная процедура выбора победителя в рамках Федерального закона N 44-ФЗ "О контрактной системе в сфере закупок товаров, работ, услуг для обеспечения государственных и муниципальных нужд" (далее – 44-ФЗ). Итак, что же отличает открытый конкурс? Его можно назвать «фаршированной» котировкой, где начинка во многом определит шансы на победу. Наиболее важные черты данного вида отбора мы рассмотрим ниже: 1). В первую очередь стоит сказать, что законодательство учитывает повышенную сложность подготовки заявки по конкурсам поставщиками и предоставляет более длительный минимальный задел между публикацией извещения и сроком окончания подачи заявок. В данном случае у участников будет не менее 15 дней на то, чтобы сформировать своё предложение. На данном этапе целесообразно использовать тот же чек-лист, что и в электронных аукционах, с важным дополнением: каковы критерии оценки и, соответственно, Ваши шансы набрать до

Вот так мы и добрались до финиша нашего мини-цикла статей, где нас ожидает самая сложная процедура выбора победителя в рамках Федерального закона N 44-ФЗ "О контрактной системе в сфере закупок товаров, работ, услуг для обеспечения государственных и муниципальных нужд" (далее – 44-ФЗ). Итак, что же отличает открытый конкурс? Его можно назвать «фаршированной» котировкой, где начинка во многом определит шансы на победу. Наиболее важные черты данного вида отбора мы рассмотрим ниже:

1). В первую очередь стоит сказать, что законодательство учитывает повышенную сложность подготовки заявки по конкурсам поставщиками и предоставляет более длительный минимальный задел между публикацией извещения и сроком окончания подачи заявок. В данном случае у участников будет не менее 15 дней на то, чтобы сформировать своё предложение. На данном этапе целесообразно использовать тот же чек-лист, что и в электронных аукционах, с важным дополнением: каковы критерии оценки и, соответственно, Ваши шансы набрать достаточное количество баллов. Также заказчик в определённых случаях обязан установить требования к участникам в соответствии с ч. 2 или с ч. 2.1 44-ФЗ. Обращаем Ваше внимание, что даже если контракт, предоставляемый Вами при прохождении предквалификации, совпадает с предъявляемыми заказчиком требованиями о наличии опыта работ, мы настоятельно рекомендуем Вам приложить его отдельно именно в составе заявки;

2). В случае принятия положительного решения об участии в конкурсе стоит приготовиться к весьма объёмной работе. Открытый конкурс является единственным конкурентным способом определения поставщика в рамках 44-ФЗ, содержащего более одной части. Формирование заявки с высокой долей вероятности потребует значительных усилий. Как правило, заявка на участие в конкурсе состоит из двух частей. Здесь мы отклонимся от порядковой очерёдности частей заявок, так как процедура, требующая подачи из трёх частей, является своеобразным уникумом среди конкурсов, которые сами по себе не самый распространённый вид закупки. Вторая часть заявки является её костяком, обеспечивающим выполнение задачи-минимум, а именно признания заявки соответствующей требованиям. Как правило, о соответствии своей заявки поставщик узнаёт по результатам рассмотрения вторых частей заявок. Другое дело – набранные при этом баллы, а именно они в конечном итоге определят наиболее достойного, по установленным заказчиком критериям, участника;

3). От обязательных компонентов второй части заявки плавно переходим к дополнительным. Документы, подтверждающие квалификацию участников, в большинстве случаев должны быть приложены в составе второй части. Именно эти сведения составляет суть конкурса – оценка предложений претендентов, регулируемая Постановление Правительства РФ от 31.12.2021 N 2604 (ред. от 31.10.2022) "Об оценке заявок на участие в закупке товаров, работ, услуг для обеспечения государственных и муниципальных нужд, внесении изменений в пункт 4 постановления Правительства Российской Федерации от 20 декабря 2021 г. N 2369 и признании утратившими силу некоторых актов и отдельных положений некоторых актов Правительства Российской Федерации" (далее – ПП-2604). Тема весьма обширная и определённо достойная рассмотрения вне пунктов в рамках специального раздела. В составе вторых частей заявок могут быть предоставлены сведения о наличии финансовых ресурсов, оборудования, опыта выполнения аналогичных контрактов, деловой репутации, а также определённых специалистов;

4). Имеющаяся практика свидетельствует о том, что заказчики достаточно редко прибегают к применению критериев, расширяющих заявку до трёх частей. Стоит уделить особое внимание как специфическим критериям сопоставления заявок (по расходам на эксплуатацию, а также по характеристикам объекта закупки, которые, в свою очередь, подразделяются на качественные, функциональные и экологические), так и формуле проведения. В этих случаях необходимо учитывать положения ч. 8 ст. 48 44-ФЗ, которая позволяет участникам, чьи заявки признаны соответствующими по результатам рассмотрения первых частей, дополнительно один раз снизить своё ценовое предложение. На это отводится специальный временной отрезок продолжительностью в один час. При этом все участники перед подачей будут проинформированы о лучшем ценовом предложении среди заявок, признанных соответствующими к тому моменту. Нельзя не учитывать и возможные подводные камни. Так, потенциально участник может сделать ценовое предложение, неадекватное рыночным условиям, но затем, естественно, в силу совершенно непреднамеренных ошибок быть отклонённым по результатам рассмотрения вторых частей заявок. В то же время его ставка может дезориентировать конкурентов и провоцировать на большее снижение цены, нежели предполагалось изначально. На наш взгляд, безоговорочно данная опция может быть полезна в тех случаях, когда в процедуре ожидается небольшое количество участников. При таком варианте можно изначально сделать ценовое предложение, равное максимальной цене контракта, а затем, при наличии конкурентов, сделать ставку на понижение. Также законодатель ужесточил требования к составу заявок. Так, теперь приложение в первой части заявки сведений об организации или ценового предложения является основанием для отклонения участника;

5). Третья часть – ценовые предложения. В целом её заполнение не составит больших сложностей, потребуется лишь учесть специфические требования тех или иных площадок при знаке, отделяющим значение в рублях и в копейках (может быть точка или запятая). После подачи мы настоятельно советуем ещё раз ознакомиться с заявкой непосредственно на площадке, сверив полноту данных и ценовое предложение, ошибка в котором может очень дорого стоить. Стоит отметить, что приложение соответствующих сведений не только в первой, но и во второй части заявки вынудит заказчика отклонить заявку. Критерий цены, как правило, является наиболее веским при оценке, и, при определённых условиях, может нивелировать полное отсутствие подтверждение квалификации участником;

6). Подсчёт баллов и определение победителя путём составления итогового протокола. Оценки выставляются на каждом этапе проведения закупки отдельно, то есть по итогам рассмотрения первых, вторых и третьих частей заявок формируются соответствующие протоколы. Предельные значения для того или иного критерия оценки установлены ПП-2604;

7). Процедура заключения контракта аналогична электронному аукциону.

Вышеуказанными пунктами мы отметили наиболее явные особенности конкурсов, но ограничиться только ими значит оставить за пределами освещения ряд важных нюансов. Как было указано выше, оценка осуществляется в соответствии с ПП-2604. Выбор критерием, которые будут применены при оценке, осуществляется заказчиком по своему усмотрению. К сожалению, это наверняка поставит участников в не вполне равные условия, но об этом ниже.

ПП-2604 последовательно описывает те или иные критерии и методики подсчётов баллов на их основании.

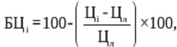
В первую очередь это цена. Основной является следующая формула:

-2

В данном случае Цi является ценовым предложением конкретного участника, Цл – лучшее предложение из поданных. Базовые навыки алгебры позволяют произвести элементарные подсчёты, согласно которому лучшее предложение получит максимальный балл за счёт того, что значение в скобках в данном случае будет равно нулю. В случае, если Вашей целью будет победить без предоставления сведений, позволяющих получить дополнительные баллы в составе второй и/или первой части заявки, можно подсчитать, каково должно быть ваше максимальное предложение для получения шансов на победу. Наиболее распространённым является соотношение 60/40 в пользу цены. Таким образом, если Вы заранее соглашаетесь с преимуществом оппонента в части квалификации для того, чтобы иметь шансы превзойти его по цене, необходимо достичь более чем троекратного преимущества по баллам в этом компоненте. Этого можно добиться при соотношении Вашего предложения к предложению конкурента не более, чем 0,6 (при делении Вашей цены на цену конкурента). Здесь мы не рассматриваем вопрос, насколько целесообразно это с экономической точки зрения.

Если в результате применения формулы, указанной выше, при сопоставлении заявок заказчик получает отрицательное значение хотя бы по одного из предложений, необходимо применять следующую формулу:

-3

где Цнач – НМЦК. Расчёт подобным образом, как нетрудно посчитать, осуществляется, если в первой формуле в дроби, указанной в скобках, получается значение больше, чем 1. Это, в свою очередь, возможно лишь при более чем двукратной разнице в ценовых предложениях.

Допустим, НМЦК по закупке составляет 10 000 000 рублей. Участник 1 делает предложение в размере 9 800 000 рублей. В таком случае для победы при соотношении критериев оценки цены к квалификации 60/40 мы получаем, что второй участник при отсутствии сведений, подтверждающих соответствие нестоимостным критериям, может быть признан победителем при цене не более 5 880 000 рублей. Другое дело, что ценовые предложения абсолютно недоступны никому, кроме площадки и, на определённой стадии, заказчику.

Если же мы берём аналогичную НИЦК и предложение участника 1, то вторая формула будет применена при предложении второго участника менее 4 900 000 рублей.

Второй возможный критерий – расходы на эксплуатацию, подсчёт происходит следующим образом:

-4

где:

Рmax - максимальное значение расходов, содержащееся в заявках;

Рmin - минимальное значение расходов, содержащееся в заявках;

Рi - значение расходов, содержащееся в предложении конкретного участника.

Изучив данную формулу, мы делаем вывод о том, что худшее предложение при применении критерия по оценке расходов получит 0 баллов. Интуитивно это кажется не вполне справедливым, так как даже минимальная разница способна в теории привнести до 10 баллов преимущества. Это будет возможным в случае, если на участие в закупке подано только две заявки. В таком случае значение второго участника получит 0 из-за значения, полученного при вычислении первой части уравнения. Соответственно, дальнейшие расчёты не будут иметь значения. Отложим в памяти вышеуказанную формулу, в дальнейшем мы столкнёмся с очень похожими уравнениями.

Третий критерий – характеристики объекта закупки. Здесь законодатель предусмотрел аж восемь формул для расчёта. Здесь мы впервые сталкиваемся с предельно допустимым максимальным и минимальным значениями, что способно ограничить разрыв между претендентами. Рассмотрение каждого способа подсчёта вполне может удвоить объём данного материала, поэтому, в силу редкости использования данного критерия, позволим оставить их за пределами сегодняшнего изучения.

Четвёртый критерий является наиболее распространённым и именуется квалификация участников закупки. В него «зашито» аж пять возможных параметров. Приведём их ниже, процитировав фрагмент ПП-2604 в оригинале:

а) наличие у участников закупки финансовых ресурсов;

б) наличие у участников закупки на праве собственности или ином законном основании оборудования и других материальных ресурсов;

в) наличие у участников закупки опыта поставки товара, выполнения работы, оказания услуги, связанного с предметом контракта;

г) наличие у участников закупки деловой репутации;

д) наличие у участников закупки специалистов и иных работников определенного уровня квалификации.

О способах подтверждения всех показателей мы умолчим, желающие могут ознакомиться с ними в разделе V ПП-2604, затронем лишь наиболее важные моменты.

Рекомендуем Вам всегда внимательно сверять параметры оценки, указанные заказчиком в документации, и их соответствие нормам ПП-2604. Отсутствие понимания по подтверждающим документам является достаточным основанием для подачи запроса.

Подтверждение опыта может осуществляться тремя подметодами:

· общая цена исполненных участником закупки договоров;

· общее количество исполненных участником закупки договоров;

· наибольшая цена одного из исполненных участником закупки договоров;

К сожалению, текущая формулировка предусматривает большие возможности для спекуляций. Пожалуй, первый способ является наиболее справедливым. При втором варианте можно «завалить» заказчика множеством мелких контрактов без ограничения минимально допустимой цены. Третий пункт будет удобен «крупным» участникам рынка. Опыт подтверждается «закрытым» контрактом со всеми приложениями, являющимися неотъемлемыми частями, а также документами, свидетельствующими об исполнении. Здесь стоит отметить использование формул, очень похожих на оценку расходов на эксплуатацию. Похожий принцип обесценит Ваше предложение, если оно будет худшим относительно конкурента по опыту. Таким образом, результат рассмотрения вторых частей заявок уже может не оставить шансов на Вашу победу. Если при оценке тендера Вы наблюдаете ограниченное количество участников, которые имеют перед Вами, как показывает опыт участия, незначительное превосходство по опыту, можно задуматься над тем, как могло бы сыграть Вам на руку появление третьего участника вообще без опыта работ, что сделает разрыв опыта не столь критичным при подсчёте баллов. Рассмотрим следующую ситуацию: допустим, заказчик опубликовал извещение о проведении конкурса со следующими параметрами: цена – предельное значение составляет 60 баллов, опыт – определяется на основании общей цены исполненных контрактов, не более 40 баллов. Ожидается участие одного конкурента, его опыт равен 292 миллионам рублей. Вы можете подтвердить опыт исполнения контрактов на 275 миллионов рублей. При двух участниках и применении формулы

-5

Вы получите 0 баллов по опыту, так как Ваше же предложение будет наихудшим. Рассмотрим картину, которая получится при участии третьего претендента без опыта. Участник 1: 40 баллов. Участник 3: 0 баллов. Ваше предложение (условный участник 2): 37,61 балла ((275 – 0)*100/(292 – 0))*0,4. Разрыв между Вами и участником 1 составит 2,39 балла, а это всё же несколько меньше 40. Здесь же добавим, что опыт могут подтверждать любые договоры, ограничение исполнением в рамках 44-ФЗ/223-ФЗ является неправомерным.

Отметим, что заказчики могут публиковать форму для заполнения, где будут сведены воедино данные о квалификации участника. На данный момент заполнение подобных форм является факультативным, их отсутствие в составе заявки в рамках 44-ФЗ не может быть законным основанием для отклонения заявки.

Подытоживая краткий обзор конкурсов в 44-ФЗ, отметим, что в них Вам как нигде при подготовке заявок потребуется неукоснительное соблюдение одного из основных принципов участия в тендерах – тотальная концентрация и сосредоточение на формулировках. Да, это способ определения победителя не удобен новичкам, но, по крайней мере, изучение материала может дать представление о том, к чему можно прийти по мере накопления опыта.