Найти в Дзене

Разность потенциалов

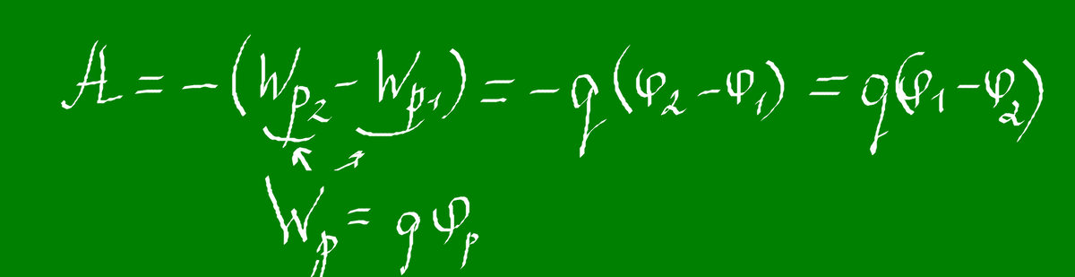
Так же как и потенциальная энергия - потенциал в данной точке зависит от выбора нулевого уровня отчета потенциала. Поэтому физическое значение имеет не сам потенциал в точке - а разность между потенциалами двух точек. Разность потенциалов двух точек не зависит от выбора нулевого уровня отчета потенциала. Рассмотрим работу совершаемую зарядом в электрическом поле, при перемещение из точки 1 в 2. Работа получилась равной произведению заряда, на разность потенциалов двух точек. По определению напряжения - работа по перемещению заряда это произведение заряда на напряжение. Сравниваем две формулы - приходим к заключению, что напряжение между двумя точками равно разности потенциалов между ними. Разность потенциалов ( напряжение) между двумя точками равна отношению работы поля при перемещению заряда из начальной точки в конечную, к величине этого заряда.

Так же как и потенциальная энергия - потенциал в данной точке зависит от выбора нулевого уровня отчета потенциала.

Поэтому физическое значение имеет не сам потенциал в точке - а разность между потенциалами двух точек.

Разность потенциалов двух точек не зависит от выбора нулевого уровня отчета потенциала.

Рассмотрим работу совершаемую зарядом в электрическом поле, при перемещение из точки 1 в 2.

Работа получилась равной произведению заряда, на разность потенциалов двух точек.

По определению напряжения - работа по перемещению заряда это произведение заряда на напряжение.

-2

Сравниваем две формулы - приходим к заключению, что напряжение между двумя точками равно разности потенциалов между ними.

-3

Разность потенциалов ( напряжение) между двумя точками равна отношению работы поля при перемещению заряда из начальной точки в конечную, к величине этого заряда.

-4