Добавить в корзинуПозвонить
Найти в Дзене
ЭврикаХаб

Решение квадратного уравнения: простые шаги

Изучите шаги решения квадратного уравнения, от применения квадратной формулы до проверки найденных корней. Присоединяйтесь к Хакнем Школа и улучшайте свои математические навыки! Квадратное уравнение — это уравнение вида ax2 + bx + c = 0, где a, b, и c — это коэффициенты, а x — это переменная, значение которой нам нужно найти. Коэффициент a не может быть равен нулю, иначе уравнение перестанет быть квадратным. Шаг 1: формула решения квадратного уравнения Для решения квадратного уравнения мы используем так называемую квадратную формулу: Здесь: Читайте также: какие корни будут у квадратного уравнения в зависимости от того: дискриминант — больше нуля, равен нулю или меньше нуля: Шаг 2: подстановка коэффициентов Теперь, когда мы знаем формулу, мы можем подставить в неё коэффициенты из нашего уравнения. Допустим, у нас есть уравнение:
x2 − 2x + 1 = 0. Здесь a = 1, b = − 2, и c = 1. Шаг 3: вычисление Теперь мы просто подставляем наши коэффициенты в формулу и вычисляем значение x: Как видите, у
Оглавление

Изучите шаги решения квадратного уравнения, от применения квадратной формулы до проверки найденных корней. Присоединяйтесь к Хакнем Школа и улучшайте свои математические навыки!

Квадратное уравнение — это уравнение вида ax2 + bx + c = 0, где a, b, и c — это коэффициенты, а x — это переменная, значение которой нам нужно найти. Коэффициент a не может быть равен нулю, иначе уравнение перестанет быть квадратным.

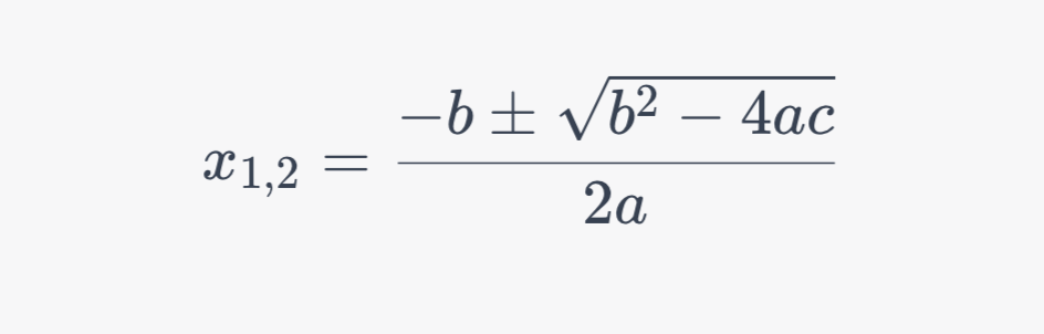
Шаг 1: формула решения квадратного уравнения

Для решения квадратного уравнения мы используем так называемую квадратную формулу:

-2

Здесь:

  • x1,2​ – корни квадратного уравнения, которые мы ищем.
  • Знак ± означает, что нужно вычислить выражение дважды: один раз со знаком плюс, другой раз со знаком минус. Это дает нам два возможных значения для x, которые мы обозначаем как x1,2​
  • это выражение под корнем называется дискриминантом:
-3

Читайте также: какие корни будут у квадратного уравнения в зависимости от того: дискриминант больше нуля, равен нулю или меньше нуля:

Дискриминант в квадратном уравнении. Объяснения и примеры

Шаг 2: подстановка коэффициентов

Теперь, когда мы знаем формулу, мы можем подставить в неё коэффициенты из нашего уравнения. Допустим, у нас есть уравнение:
x2 − 2x + 1 = 0. Здесь a = 1, b = − 2, и c = 1.

Шаг 3: вычисление

Теперь мы просто подставляем наши коэффициенты в формулу и вычисляем значение x:

-4

Как видите, у нас получилось два ответа для x1,2​: x1 = 1 и x2​ = 1. Это означает, что у нашего уравнения есть один корень, который равен 1. Это называется “дважды вырожденным” корнем.

Шаг 4: проверка

После того, как мы нашли корни уравнения, мы можем проверить их, подставив обратно в уравнение. Если при подстановке корней уравнение обращается в верное числовое равенство, значит, мы нашли правильные корни.

В нашем случае, если мы подставим x=1 в уравнение x2 − 2x + 1 = 0 мы получим:
12 − 2∗1 + 1= 0, что является верным равенством. Значит
x=1 действительно является корнем уравнения.

Вот и всё! Теперь вы знаете, как решать квадратные уравнения. Не забывайте, что практика — это ключ к успеху в математике. Чем больше вы будете решать уравнения, тем лучше будете понимать их структуру и тем легче вам будет находить решения. И помните, что каждый раз, когда вы решаете математическую задачу, вы тренируете свой мозг, развиваете логическое мышление и учитесь преодолевать трудности. Успехов вам в изучении математики в сообществе Хакнем Школа!

-5