Найти в Дзене
Физика в жизни.

Центростремительное ускорение в жизни!

В первой статье хотел рассказать о центростремительном ускорении. Центростремительное ускорение можно наблюдать, когда вы сели на барный стул, это такой стул, у которого крутится сидушка, но не крутятся ножки. Вы сели на него и немного раскрутились, если вы вытянете руки, можно увидеть, что вы стали крутиться медленнее. Это происходит из-за того, что вытягивая руки, вы увеличиваете радиус, следовательно уменьшается центростремительное ускорение и уменьшается скорость. Это следует из формулы ценстростремительного ускорения: Где: a-центростремительное ускорение V-скорость R-радиус Нужно понимать, что это криволинейное движение, вектор скорости направлен по касательной к окружности, а вектор ускорения направлен по радиусу R к центру окружности. Ещё центростремительное ускорение можно наблюдать у фигуристов. Когда они выполняют прыжок, который называется тулуп. Они разгоняются, с вытянутыми руками и прыгают. В начале прыжка они прижимают руки к груди, уменьшая свой радиус, из-за этого

В первой статье хотел рассказать о центростремительном ускорении.

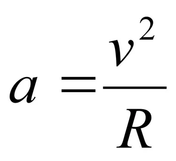
Центростремительное ускорение можно наблюдать, когда вы сели на барный стул, это такой стул, у которого крутится сидушка, но не крутятся ножки. Вы сели на него и немного раскрутились, если вы вытянете руки, можно увидеть, что вы стали крутиться медленнее. Это происходит из-за того, что вытягивая руки, вы увеличиваете радиус, следовательно уменьшается центростремительное ускорение и уменьшается скорость. Это следует из формулы ценстростремительного ускорения:

Где: a-центростремительное ускорение

V-скорость

R-радиус

Нужно понимать, что это криволинейное движение, вектор скорости направлен по касательной к окружности, а вектор ускорения направлен по радиусу R к центру окружности.

Ещё центростремительное ускорение можно наблюдать у фигуристов. Когда они выполняют прыжок, который называется тулуп. Они разгоняются, с вытянутыми руками и прыгают. В начале прыжка они прижимают руки к груди, уменьшая свой радиус, из-за этого увеличивается центростремительное ускорение и растёт скорость.

-2

Ёще нужно понимать, что когда тело движется по окружности или по кривым отрезкам, то его скорость не постоянна, она изменяется. Так как направление движения тела постоянно меняется.

На этом статья подошла к концу, надеюсь, что было интересно читать.