Найти в Дзене

ОПРЕДЕЛЕНИЕ ПРЕДЕЛОВ ВОСПЛАМЕНЕНИЯ МНОГОКОМПОНЕНТНОЙ СМЕСИ

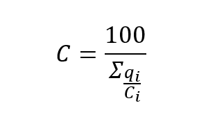
где: qi - содержание горючего i-го компонента смеси % (об.), (∑qi=100 ); ci- верхний (нижний) концентрационный предел воспламенения i-го компонента Температура взрыва большинства веществ находится в пределах 1500-3000 град. C, давление при обычном взрыве газов и паров не превышает 1,1 МПа (11 кг/см2) При увеличении О2 21% (объем) давление при взрыве резко увеличивается и может достигнуть 20 МПа (200 кг/см2)

где:

qi - содержание горючего i-го компонента смеси % (об.), (∑qi=100 );

ci- верхний (нижний) концентрационный предел воспламенения i-го компонента

Температура взрыва большинства веществ находится в пределах 1500-3000 град. C, давление при обычном взрыве газов и паров не превышает 1,1 МПа (11 кг/см2)

При увеличении О2 21% (объем) давление при взрыве резко увеличивается и может достигнуть 20 МПа (200 кг/см2)

Картинка из свободных источников
Картинка из свободных источников