Найти в Дзене
Финансовый НАУЧПОП

Банковские депозиты(Вклады)

Как минимум в России самым популярным инструментом инвестиций является банковский вклад. Так вот этот вклад имеет свои плюсы и минусы.
Плюсы вкладов: Минусы вкладов: Теперь кратко про виды вкладов.
По временному признаку - вклады бывают краткосрочный и долгосрочные(по долгосрочным как правило процент выше).
Далее имеются вклады с капитализацией процента и без капитализации(То есть с учетом заработанных процентов и без учета данного процента).
Также как я и говорил имеется выбор среди вкладов, на основе владения капиталом(то есть его снятие, ввод/вывод ср-в, в каких-то вкладах это можно совершать без потери средств, а в других вы можете потерять заработанный процент)
Также существуют мультивалютные вклады(Те же вклады, но в другой валюте)
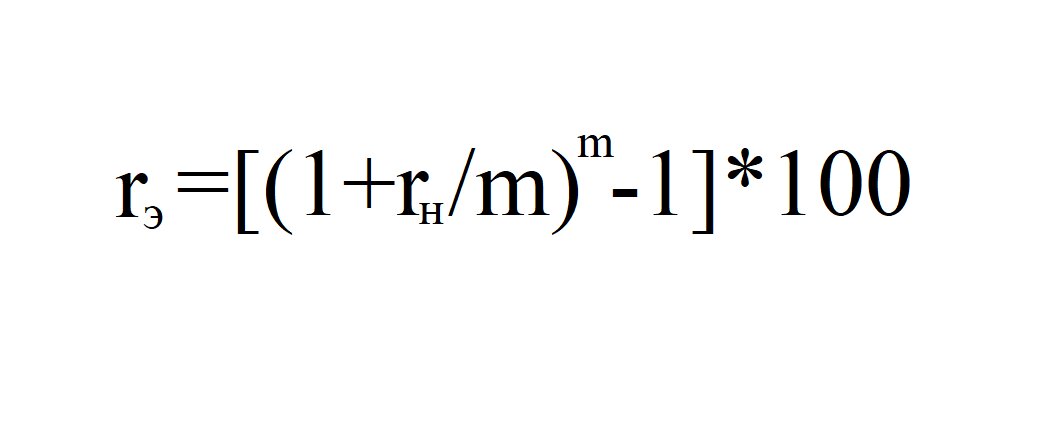
Rэ - эффективная ставка, ставка с учетом капитализации процента.
Rн - номинальная ставка, та которую вам предлагают в банке.
m - частота начисленния процентов.

Как минимум в России самым популярным инструментом инвестиций является банковский вклад. Так вот этот вклад имеет свои плюсы и минусы.

Плюсы вкладов:

  1. Это неимоверно надежный инструмент(государство за банками следит, плавно перетекаем ко второму пункту)
  2. Страхование вкладов(банк все ваши вклады страхует, требования нашего государства)
  3. Множество различных видов вкладов(возможность выбора)

Минусы вкладов:

  1. Низкая доходность, редко когда процент по вкладу превышает инфляцию
  2. Страховка вкладов имеет свои рамки(до 1,4 млн. рублей)
  3. Банковские вклады имеют низкий уровень ликвидности

Теперь кратко про виды вкладов.
По временному признаку - вклады бывают краткосрочный и долгосрочные(по долгосрочным как правило процент выше).
Далее имеются вклады с капитализацией процента и без капитализации(То есть с учетом заработанных процентов и без учета данного процента).
Также как я и говорил имеется выбор среди вкладов, на основе владения капиталом(то есть его снятие, ввод/вывод ср-в, в каких-то вкладах это можно совершать без потери средств, а в других вы можете потерять заработанный процент)
Также существуют мультивалютные вклады(Те же вклады, но в другой валюте)

Формула капитализации процентов
Формула капитализации процентов


Rэ - эффективная ставка, ставка с учетом капитализации процента.
Rн - номинальная ставка, та которую вам предлагают в банке.
m - частота начисленния процентов.