Найти в Дзене

Эволюция заданий и органических веществ в задачах на вывод формул. Подготовка к ЕГЭ по химии. Азотсодержащие вещества.

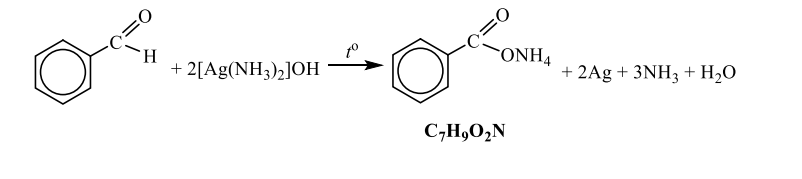
Рада приветствовать всех читателей на моём канале, который посвящён подготовке к ЕГЭ по химии. На канале Вы можете найти полезную инфографику, теорию, интересные задачи, тренировочные варианты, разборы задач для подготовки к ЕГЭ. Каждый день новые материалы для подготовки, тесты, задачи в телеграм-канале: ЕГЭ химия 2023 10 минут🕘 в день. При подготовке материалов использовали файлы с заданиями, собранными И.С.Ермолаевым. Сегодня вспомним только азотсодержащие вещества. Могут встретиться соли аммония, которые образовались при окислении альдегидов аммиачным раствором оксида серебра. Так как задания и структуры усложняются, то в этом году можно ожидать появления веществ с двумя альдегидными группами или с двумя функциональными группами, которые по разному будут вступать в реакцию с данным реактивом. В 33 задаче могут встретиться нитросоединения, как исходные вещества для получения аминов. Соли аминов от взаимодействия с кислотами довольно часто встречаются в 33 задаче. Некоторый фурор
Рада приветствовать всех читателей на моём канале, который посвящён подготовке к ЕГЭ по химии.
На канале Вы можете найти полезную инфографику, теорию, интересные задачи, тренировочные варианты, разборы задач для подготовки к ЕГЭ.
Каждый день новые материалы для подготовки, тесты, задачи в телеграм-канале: ЕГЭ химия 2023 10 минут🕘 в день.

При подготовке материалов использовали файлы с заданиями, собранными И.С.Ермолаевым.

Сегодня вспомним только азотсодержащие вещества.

Могут встретиться соли аммония, которые образовались при окислении альдегидов аммиачным раствором оксида серебра.

Вещество А образуется при нагревании карбонильного соединения Б с гидроксидом диамминсеребра(I). Известно, что вещество А не содержит атомов углерода в 
 sp-гибридизации. 2021 год
Вещество А образуется при нагревании карбонильного соединения Б с гидроксидом диамминсеребра(I). Известно, что вещество А не содержит атомов углерода в sp-гибридизации. 2021 год

Так как задания и структуры усложняются, то в этом году можно ожидать появления веществ с двумя альдегидными группами или с двумя функциональными группами, которые по разному будут вступать в реакцию с данным реактивом.

-3

В 33 задаче могут встретиться нитросоединения, как исходные вещества для получения аминов.

Известно, что это вещество может быть получено восстановлением соответствующего нитросоединения водородом в присутствии катализатора. 2019 год
Известно, что это вещество может быть получено восстановлением соответствующего нитросоединения водородом в присутствии катализатора. 2019 год
Известно, что вещество А образуется при восстановлении вещества Б цинком в присутствии серной кислоты. 2021 год
Известно, что вещество А образуется при восстановлении вещества Б цинком в присутствии серной кислоты. 2021 год

Соли аминов от взаимодействия с кислотами довольно часто встречаются в 33 задаче.

При взаимодействии соли вторичного амина с ацетатом серебра образуется органическое
вещество А и бромид серебра. 2019 год
При взаимодействии соли вторичного амина с ацетатом серебра образуется органическое вещество А и бромид серебра. 2019 год
При взаимодействии двух солей, одна из которых содержит органический катион, получено вещество А и бромид серебра. 2020 год
При взаимодействии двух солей, одна из которых содержит органический катион, получено вещество А и бромид серебра. 2020 год

Некоторый фурор в 2020 году произвели соли аминов с карбоновыми кислотами. Кстати, похожих структур в другие года, пока не встречались. Возможно в этом году про них вспомнят. В 2020 году эту задачу, по крайней мере у нас в муниципалитете, решили единицы.

Вещество А содержит один четвертичный атом углерода. При нагревании вещества А с гидроксидом бария образуется органическая соль и выделяется газ, молекула которого содержит один атом углерода. 2020 год
Вещество А содержит один четвертичный атом углерода. При нагревании вещества А с гидроксидом бария образуется органическая соль и выделяется газ, молекула которого содержит один атом углерода. 2020 год

.Соли аминов, которые образуются при взаимодействии первичных аминов с галогеналканами.

Это вещество может быть получено при взаимодействии первичного амина с бромметаном.  2019 год
Это вещество может быть получено при взаимодействии первичного амина с бромметаном. 2019 год
Вещество А образуется при действии хлорэтана на азотсодержащее вещество Б, молекула которого содержит четвертичный атом углерода. 2021 год
Вещество А образуется при действии хлорэтана на азотсодержащее вещество Б, молекула которого содержит четвертичный атом углерода. 2021 год
Образуется при действии бромэтана на азотсодержащее вещество. 2021 год
Образуется при действии бромэтана на азотсодержащее вещество. 2021 год

В заданиях могут встретиться сложные эфиры спиртов с азотной кислотой.

Любят наши составители аминокислоты, сложные эфиры аминокислот, соли аминокислот и пептиды.

Вещество А образуется при взаимодействии органического вещества Б с этанолом в молярном соотношении 1 : 1. Известно, что вещество Б имеет природное происхождение и способно взаимодействовать как с кислотами, так и со щелочами. 2018 год
Вещество А образуется при взаимодействии органического вещества Б с этанолом в молярном соотношении 1 : 1. Известно, что вещество Б имеет природное происхождение и способно взаимодействовать как с кислотами, так и со щелочами. 2018 год
При нагревании с соляной кислотой данное вещество подвергается гидролизу, продуктами которого являются соединение состава С2H6NО2Cl и  одноатомный спирт.  2018 год  Это же вещество и реакция в 2020 году: при нагревании с соляной кислотой вещество А
подвергается гидролизу, продуктами которого являются одноатомный спирт и соль, катион которой содержит два атома углерода.
При нагревании с соляной кислотой данное вещество подвергается гидролизу, продуктами которого являются соединение состава С2H6NО2Cl и одноатомный спирт. 2018 год Это же вещество и реакция в 2020 году: при нагревании с соляной кислотой вещество А подвергается гидролизу, продуктами которого являются одноатомный спирт и соль, катион которой содержит два атома углерода.
При нагревании с водным раствором гидроксида натрия данное
вещество подвергается гидролизу, продуктами которого являются соединение состава
С2H4NО2Na и первичный спирт. 2018 год
При нагревании с водным раствором гидроксида натрия данное вещество подвергается гидролизу, продуктами которого являются соединение состава С2H4NО2Na и первичный спирт. 2018 год

В заданиях встречаются аммонийные соли, которые образуются при взаимодействии аминокислот и их солей с кислотами. Реакции уже идут по двум функциональным группам.

Вещество А образуется при действии разбавленной серной кислоты на натриевую соль Б. 2021 год
Вещество А образуется при действии разбавленной серной кислоты на натриевую соль Б. 2021 год

Усложняется структура вещества или формулировка задания.

Известно, что в веществе А азотсодержащая функциональная группа находится в α-положении по отношению к кислородсодержащей, а в ароматическом ядре замещён только один атом водорода. 2022 год
Известно, что в веществе А азотсодержащая функциональная группа находится в α-положении по отношению к кислородсодержащей, а в ароматическом ядре замещён только один атом водорода. 2022 год

У аминокислот растёт количество функциональных групп.

Известно, что молекула вещества А имеет неразветвлённый углеродный скелет, содержит три функциональные группы, при этом азотсодержащие группы максимально удалены друг от друга. Вещество А способно реагировать как с соляной кислотой, так и гидроксидом натрия. 2022 год
Известно, что молекула вещества А имеет неразветвлённый углеродный скелет, содержит три функциональные группы, при этом азотсодержащие группы максимально удалены друг от друга. Вещество А способно реагировать как с соляной кислотой, так и гидроксидом натрия. 2022 год
Известно, что вещество А имеет неразветвлённый углеродный скелет, содержит три функциональные группы, при этом азотсодержащая группа находится в α-положении к одной из кислородсодержащих групп. Вещество A может реагировать как с гидроксидом калия, так и с соляной кислотой. 2022 год
Известно, что вещество А имеет неразветвлённый углеродный скелет, содержит три функциональные группы, при этом азотсодержащая группа находится в α-положении к одной из кислородсодержащих групп. Вещество A может реагировать как с гидроксидом калия, так и с соляной кислотой. 2022 год

В 33 задаче любят пептиды и их гидролиз в разных средах. Усложняют формулировку задания и структуру вещества, уменьшают количество фактических данных о веществе.

При гидролизе данного дипептида в растворе гидроксида калия образуется только одна соль. 2018 год.   Эта же реакция и вещество в 2021 году:  Если провести гидролиз вещества А в присутствии гидроксида калия, то в качестве единственного органического продукта образуется калиевая соль.
При гидролизе данного дипептида в растворе гидроксида калия образуется только одна соль. 2018 год. Эта же реакция и вещество в 2021 году: Если провести гидролиз вещества А в присутствии гидроксида калия, то в качестве единственного органического продукта образуется калиевая соль.

При гидролизе данного дипептида в присутствии соляной кислоты образуется только одна соль.

При гидролизе данного дипептида в присутствии соляной кислоты образуется только одна соль. 2018 год.          То же самое вещество и реакция в 2021 году: Известно, что вещество А подвергается гидролизу. Если провести гидролиз в присутствии соляной кислоты, то в качестве единственного продукта образуется соль, содержащая хлорид-ион.
При гидролизе данного дипептида в присутствии соляной кислоты образуется только одна соль. 2018 год. То же самое вещество и реакция в 2021 году: Известно, что вещество А подвергается гидролизу. Если провести гидролиз в присутствии соляной кислоты, то в качестве единственного продукта образуется соль, содержащая хлорид-ион.
При гидролизе данного вещества в
присутствии гидроксида калия образуются две соли. 2022 год
При гидролизе данного вещества в присутствии гидроксида калия образуются две соли. 2022 год

Готовимся к ЕГЭ по химии в телеграм канале: https://t.me/himikys10

Каждый день новые материалы, тесты, задачи. Тренинг по 33 заданию начинается здесь.