Найти в Дзене

Инструменты трейдера. Зависимость между сделками. Z-счёт.

Одним из первых параметров, которые мы проверяем при оценке новой стратегии – это проверка зависимости между сделками используя методику Z-счета. Данная оценка дает нам понять, что ждать от нашей системы в плане чередования прибыльных и убыточных сделок, что в свою очередь влияет на выбор системы управления капиталом при входе в сделку. Рассмотрим 2 типа случайного процесса: Независимые испытания (Отбор с замещением) – это последовательность результатов, где вероятность постоянна от одного события к другому. Бросок монеты является примером такого процесса. Каждый бросок имеет вероятность 50/50 независимо от результата предыдущего броска и равна 50%. Зависимые испытания (отбор без замещения) – это когда результат предыдущих событий влияет на вероятность, и значение вероятности непостоянно от одного события к другому. Примером такой зависимости является карточная игра 21 (очко). Если перейти к трейдингу, необходимо убедится в том, что каждая следующая сделка не зависит, от результатов пр

Одним из первых параметров, которые мы проверяем при оценке новой стратегии – это проверка зависимости между сделками используя методику Z-счета. Данная оценка дает нам понять, что ждать от нашей системы в плане чередования прибыльных и убыточных сделок, что в свою очередь влияет на выбор системы управления капиталом при входе в сделку.

Рассмотрим 2 типа случайного процесса:

Независимые испытания (Отбор с замещением) – это последовательность результатов, где вероятность постоянна от одного события к другому. Бросок монеты является примером такого процесса. Каждый бросок имеет вероятность 50/50 независимо от результата предыдущего броска и равна 50%.

Зависимые испытания (отбор без замещения) – это когда результат предыдущих событий влияет на вероятность, и значение вероятности непостоянно от одного события к другому. Примером такой зависимости является карточная игра 21 (очко).

Если перейти к трейдингу, необходимо убедится в том, что каждая следующая сделка не зависит, от результатов предыдущей сделки. Это важно, потому что последующие тесты оптимизации и управление капиталом подразумевают, что мы имеем дело с независимыми результатами.

Эту проверку надо осуществить до начала качественной проверки торговой системы. По сути, любая система, которую мы разрабатываем, должна соответствовать — отбору с замещением

В итоге, перед тем как приступать к тестированию и оптимизации, мы проводим проверку, что у нашей торговой системы каждая следующая сделка не зависит от предыдущей (отбор с замещением).

Серийный тест — Изучение процентных соотношений выигрышных и убыточных сделок является только частью работы, которую необходимо проделать перед тем, как начать реальную торговлю. Этот анализ предполагает, что результаты сделок не зависят друг от друга. Хороший пример такой взаимной независимости результатов — бросание монеты. Вероятность выпадения решки всегда 50%, вне зависимости от того, что выпало в прошлый раз. Для независимых событий прошлый результат не оказывает влияния на вероятность последующего события.

На рынке, однако, может существовать зависимость между сделками, когда исход текущей сделки зависит от результата предыдущей сделки. Например, убыток, полученный для длинной позиции, может влиять на вероятность получения прибыли в будущем. Хорошим примером такого рода ситуации является карточная игра. После того, как карта сыграна, она убирается из игры, и, таким образом, изменяет вероятность выпадения следующих карт. В тоже время, следующая карта все равно выпадает случайным образом. Таким образом, за карточным столом причудливым образом сочетается как случайный характер игры, так и зависимость от уже произошедших действий. Раз такого рода зависимости существуют, значит их можно использовать в торговле для получения дополнительных шансов на прибыль.

Трейдер может иметь торговую систему, в которой выигрыши и проигрыши идут «полосами». Или, наоборот, трейдер может обнаружить, что после выигрыша обычно следует проигрыш, а за проигрышем — выигрыш. Также можно обнаружить зависимости в отношении прибыльности сделок. Например, после крупного выигрыша идет незначительный выигрыш, или размер выигрышей идет «полосами».

Z-счет — это статистическая величина, позволяющая трейдерам анализировать зависимость между сделками, позволяет оценить, насколько часто прибыльные сделки сменяются убыточными.

Z-счет рассчитывается путем сравнения количества серий в наборе сделок относительно количества серий, которое можно было бы ожидать при статистической независимости результатов текущей сделки от прошедших сделок.

Для расчета Z-счета надо иметь не менее 30 сделок в истории системы. Это связано с тем, что вычисления зависят от стандартного отклонения системы. Доверительные интервалы — это количество статистически ожидаемых наблюдений при X стандартном отклонении. Например, одно стандартное отклонение представляет собой область, в которую попадает примерно в 68,3% (около 2/3) всех наблюдений. Если Z-счет равен единице, то доверительные интервалы будут равны 68%.

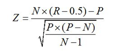
Z-счет для торговой системы вычисляется по формуле:

где:

N — общее число сделок в последовательности;
R — общее число серий выигрышных и проигрышных сделок;
P = 2*W*L;
W — общее число выигрышных сделок в последовательности;
L — общее число проигрышных сделок в последовательности.

Рассмотрим z-счет на примере стратегий, которые реализованы у нас в телеграмм канале https://t.me/supertrader_from_zero

Для начала рассчитаем z-счет для стратегии 1 с 01.01.2022 – по 13.03.2023

-2

Данные бектесты представлены по следующим инструментам:

-3

Рассчитаем z-счет на примере акций Газпрома.

-4

1. N = 31

2. R = 11: (+)(-)(++++)(----)(+)(-)(++) (-------------)(+)(-)(+)(-)

3. P = 2 * 10 * 21 = 420

Z =   31*(11-0,5) – 420    = -1.28

Знак Z говорит нам о типе зависимости. Положительное говорит нам о том, что за прибыльной сделкой наиболее вероятна убыточная, а отрицательное — что за выигрышем наиболее вероятно последует выигрыш, а проигрыш повлечет за собой также проигрыш. Небольшая таблица иллюстрирует тип и вероятность зависимости между сделками по сравнению с нормальным распределением.

-5

Z-счет равный -1.28 говорит о неопределенной типе зависимости, когда нет вероятности получения прибыльной сделки после прибыльной или убыточной после прибыльной.

Подводя итог можно сказать, что Положительная зависимость между сделками означает (Z-счет отрицателен), что выигрыш порождает выигрыш, а проигрыш порождает проигрыш. Отрицательная зависимость означает, что после выигрыша последует проигрыш, а после проигрыша последует выигрыш. Эта зависимость позволяет регулировать размеры открываемых позиций или как вариант пропускать некоторые сделки (мы такого не практикуем, на трендовых системах ни чего хорошего из этого не получилось).